1/22
Looks like no tags are added yet.
Name | Mastery | Learn | Test | Matching | Spaced | Call with Kai |
|---|
No analytics yet
Send a link to your students to track their progress
Arithmetic Sequence

Geometric Sequence

Sum of n terms of an ARITHMETIC series

Sum of n terms of a GEOMETRIC series

Sum of an infinite geometric series

Reciprocal function

End behavior format
As X —> -∞, f(x) —> [horizontal asymptote],
As X —> ∞, f(x) —> [horizontal asymptote],
where do you plug final answer back in to verify?
Into the denominator, if the denominator is EQUAL to 0, then there is no solution
Quadratic formula

Work rate problem Formula

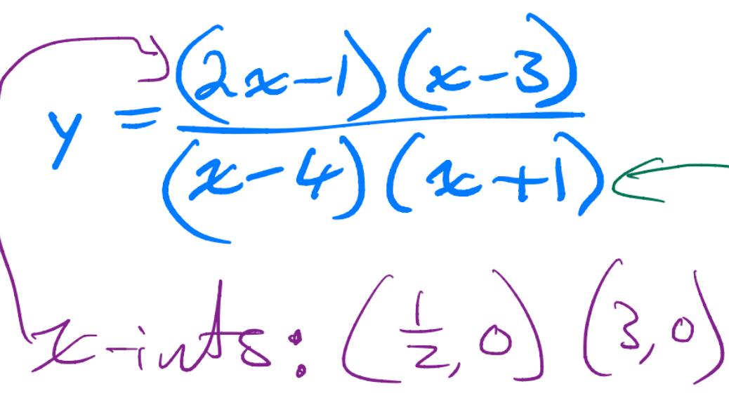
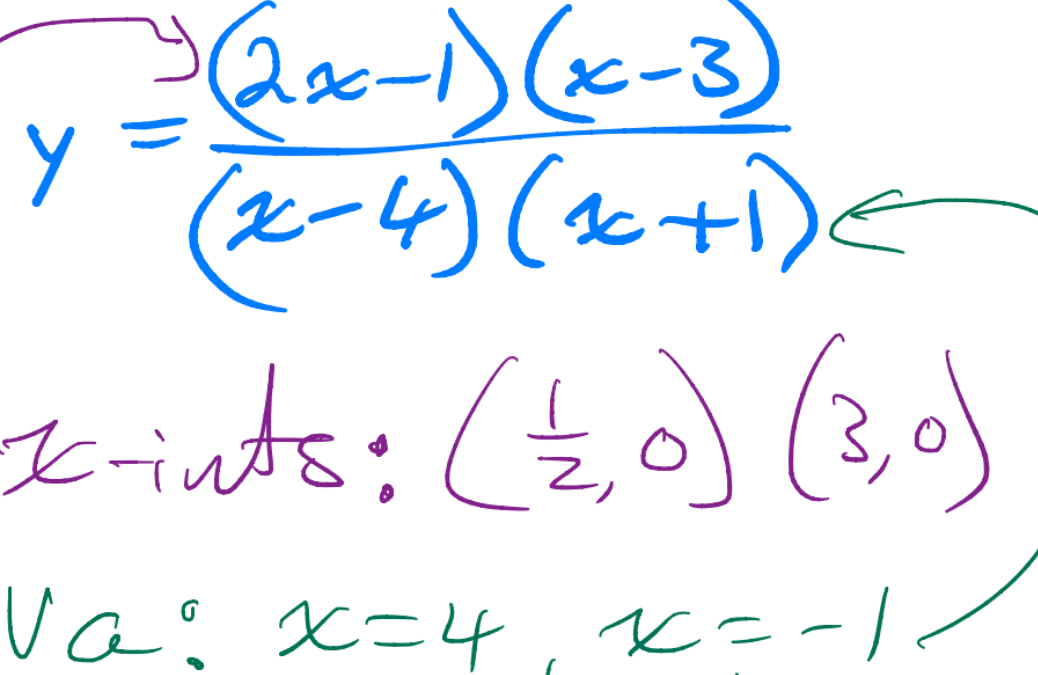
Finding X-ints in rational functions
In Numerator

Finding Y-ints in rational functions
replace all Xs with 0s
Finding Vertical Asymptotes in rational functions
In Denominator

If degree of Numerator is LESS than the degree of the denominator
HA is y=0
If degree of Numerator is EQUAL to the degree of the denominator
HA is:

If degree of Numerator is MORE than the degree of the denominator
No HA/or slant
What is a hole?
A zero of the numerator AND Denominator
How to find Slant asymptote
Long division



Even

Odd

