1/17
Looks like no tags are added yet.
Name | Mastery | Learn | Test | Matching | Spaced | Call with Kai |
|---|
No analytics yet
Send a link to your students to track their progress

Fructose

dihydroxyacetone

Galactose

Mannose

Glucose

Ribose

Diglyceraldehyde

Ribose
Glucose

Mannose

Fructose

Galactose

Lactose

sucrose

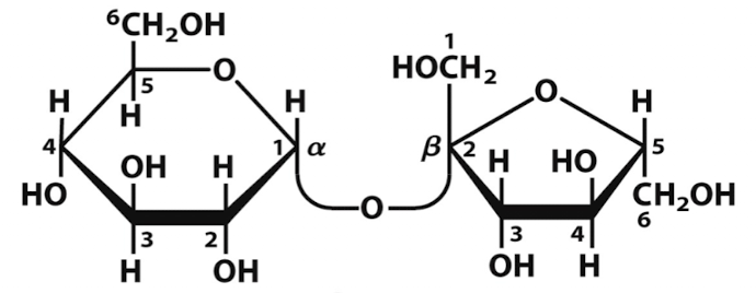
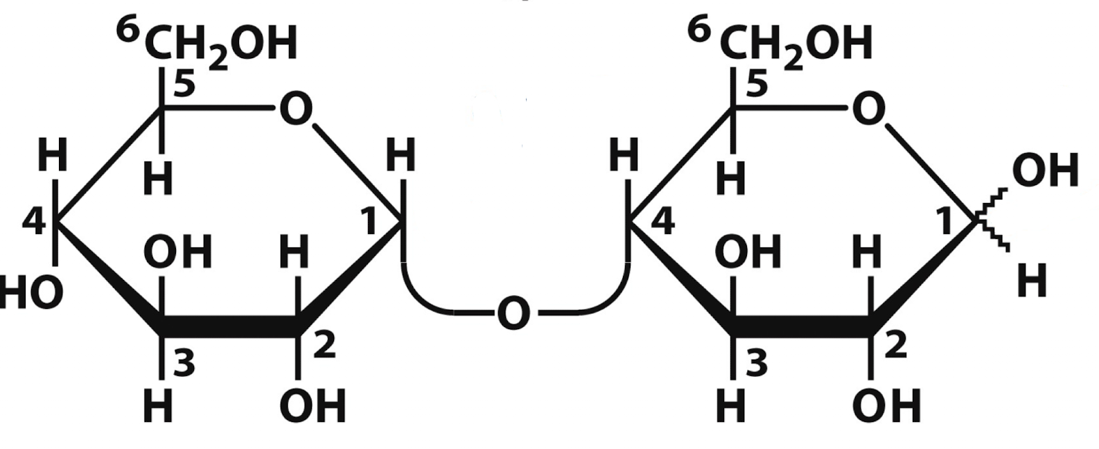
maltose
maltose is made out of these two monosaccharides: glucose and______
glucose
sucrose is made out of these two monosaccharides: glucose and______
fructose
lactose is made out of these two monosaccharides: glucose and______
galactose