Home
Explore
Exams
Login
Get started
Home
Formulas for Memorization
Formulas for Memorization
0.0
(0)
Rate it
Studied by 1 person
0.0
(0)
Rate it
Call with Kai
Learn
Practice Test
Spaced Repetition
Match
Flashcards
Knowt Play
Card Sorting
1/47
There's no tags or description
Looks like no tags are added yet.
Study Analytics
All Modes
Learn
Practice Test
Matching
Spaced Repetition
Call with Kai
Name
Mastery
Learn
Test
Matching
Spaced
Call with Kai
No study sessions yet.
48 Terms
View all (48)
Star these 48
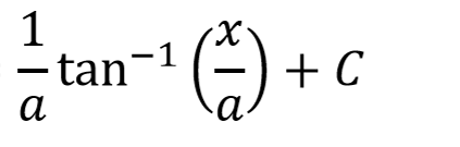
1
New cards
=0
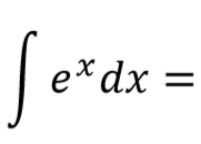
2
New cards
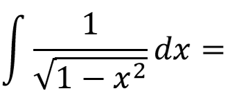
3
New cards
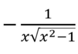
4
New cards
5
New cards
6
New cards
7
New cards
8
New cards
9
New cards
10
New cards
11
New cards
12
New cards
13
New cards
14
New cards
15
New cards
16
New cards
17
New cards
18
New cards
19
New cards
20
New cards
21
New cards
22
New cards
23
New cards
24
New cards
25
New cards
26
New cards
27
New cards
28
New cards
29
New cards
30
New cards
31
New cards
32
New cards
33
New cards
34
New cards
35
New cards
36
New cards
37
New cards
38
New cards
39
New cards
40
New cards
41
New cards
1
42
New cards
43
New cards
44
New cards
45
New cards
46
New cards
47
New cards
48
New cards
Explore top notes
Topic 8.0 + 8.1: Introduction to South, East, and Southeast Asia; Indian Art
Updated 625d ago
Note
Preview
Building Speaking Confidence
Updated 1304d ago
Note
Preview
"The Others" - What about Great Britain, Russia, Canada, and the US? - in class 1/29
Updated 358d ago
Note
Preview
german2
Updated 382d ago
Note
Preview
4.1: introduction to industry
Updated 1143d ago
Note
Preview
Kinematics
Updated 362d ago
Note
Preview
AP Calculus AB - Ultimate Guide
Updated 483d ago
Note
Preview
Introduction
Updated 1089d ago
Note
Preview
Topic 8.0 + 8.1: Introduction to South, East, and Southeast Asia; Indian Art
Updated 625d ago
Note
Preview
Building Speaking Confidence
Updated 1304d ago
Note
Preview
"The Others" - What about Great Britain, Russia, Canada, and the US? - in class 1/29
Updated 358d ago
Note
Preview
german2
Updated 382d ago
Note
Preview
4.1: introduction to industry
Updated 1143d ago
Note
Preview
Kinematics
Updated 362d ago
Note
Preview
AP Calculus AB - Ultimate Guide
Updated 483d ago
Note
Preview
Introduction
Updated 1089d ago
Note
Preview
Explore top flashcards
La diversidad cultural
Updated 1067d ago
Flashcards (91)
Preview
AP World History Unit 6 Flashcards
Updated 1071d ago
Flashcards (40)
Preview
Nervous System
Updated 1142d ago
Flashcards (30)
Preview
Mandibolati
Updated 380d ago
Flashcards (55)
Preview
Unit 7: Developmental Psychology
Updated 700d ago
Flashcards (71)
Preview
SPA 111 - Numbers 1-39
Updated 880d ago
Flashcards (39)
Preview
Honors Living Earth Bio Vocab (#4)
Updated 1060d ago
Flashcards (54)
Preview
The Ultimate Guide to AP United States Government and Politics
Updated 45d ago
Flashcards (272)
Preview
La diversidad cultural
Updated 1067d ago
Flashcards (91)
Preview
AP World History Unit 6 Flashcards
Updated 1071d ago
Flashcards (40)
Preview
Nervous System
Updated 1142d ago
Flashcards (30)
Preview
Mandibolati
Updated 380d ago
Flashcards (55)
Preview
Unit 7: Developmental Psychology
Updated 700d ago
Flashcards (71)
Preview
SPA 111 - Numbers 1-39
Updated 880d ago
Flashcards (39)
Preview
Honors Living Earth Bio Vocab (#4)
Updated 1060d ago
Flashcards (54)
Preview
The Ultimate Guide to AP United States Government and Politics
Updated 45d ago
Flashcards (272)
Preview