1/61
Name | Mastery | Learn | Test | Matching | Spaced | Call with Kai |
|---|
No analytics yet
Send a link to your students to track their progress
Centre of Mass
āThe point at which the total mass of the object is said to actā
Conservation of Energy
āThe energy of the system before an event = the energy of the system after the eventā
Conservation of Momentum
āMomentum of the system before an event = the momentum of the system afterā
Drag
āThe resistance against the motion of an object. Usually proportional to the speed of that objectā
Efficiency

Elastic collision
āKinetic energy of a system before an event = kinetic energy afterā
Equilibrium
āMoments about a point are balanced and the resultant force on the object is zeroā
Force
āThe rate of change of momentum of an objectā
Gravitational potential energy
āThe energy gained by an object when it is raised by a height in a gravitational fieldā
Impulse
change in momentum
Equal to the area under a force-time graph
Force x change in time
newton-second(N s)

Kinetic energy
The energy an object has due to its motion
The amount of energy that would be transferred from the object when it decelerates to rest
Momentum
āThe product of an objects mass and its velocityā

Moment
The product of a force and the perpendicular distance from the line of action to the pivot about which the force is acting

Newtonās First Law
āAn object at a constant velocity will remain at a constant velocity unless acted on by a resultant forceā
Newtonās Second Law
āIf an object is acted upon by a resultant force it will accelerateā

Newtonās Third Law
āEvery action has an equal and opposite reactionā
Work Done
A force applied over a distance
Force x change in distance

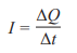
Current
āRate of flow of chargeā
Change in charge over the change in time
(Amps)

Potential Difference
Work done per coulomb
(Volts)

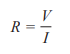
Resistance
āA measure of how difficult it is for current to flow in a circuit ā
Directly proportional to the p.d.
Inversely proportional to the current flow
(Ohms)

Ohmic Conductor
āA conductor which follows Ohmās law, the current flowing through is directly proportional to the potential difference, when it is held at a constant temperatureā

Resistivity
A measure of how easily it allows charge to flow through it
Ļ- Resistivity
R- Resistance
l- lenght
(Ohm-metre)

Current and Potential
n- number density(m^-3)
q- the charge of charge carriers (usually 1.6Ć10^-16C)
v- velocity of the charge carriers(ms^-1)
A- cross sectional area of the wire(m²), calculate using A=Ļr2

Superconductor
āMaterials which have zero resistivity at and below a critical temperatureā
Semiconductors
Components for which the resistance changes depending on external conditions:
LDRs- light sensitive
Thermistors- temperature sensitive
Power
āThe rate of energy transferā
(Watt)

Filament Lamp

Diode

Series circuits
Total resistance:

Parallel circuits
Total resistance:

Kirchoffās First Law
āThe total current entering a junction is equal to the total current leaving itā

Kirchoffās Second Law
āThe sum of e.m.f in any loop of the circuit is equal to the sum of the p.dās of each componentā
E.M.F
āThe amount of energy supplied by the source per unit chargeā
(Volts)
Internal Resistance
āOpposition to the flow of charge within a cellā
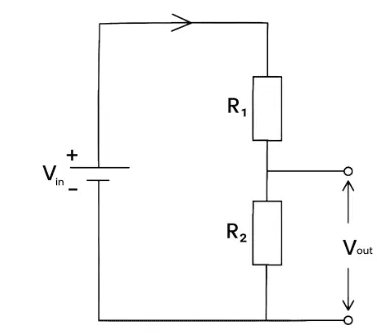
Potential Divider
A combination of two or more resistors in a series
The p.d in the circuit is split into a specific ratio

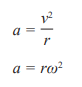
Angle in radians
s -arc length
r -radius

Angular speed -Ļ
v = Ļr

Connecting period and frequency to angular velocity
f = 1/T
T = 2Ļ/Ļ
f = Ļ /2Ļ
Ļ = f2Ļ

Centripetal force
āWe know from Newtonās first law that to accelerate, an object must experience a resultant force, therefore an object moving in a circle must experience a forceā
It always acts towards the centre of the circle

Centripetal acceleration
āThe acceleration experienced while in uniform circular motionā

Simple Harmonic Motion
An object is experiencing SHM when its acceleration is directly proportional to displacement and is in the opposite directionā
x is the displacement from the equilibrium position

Electric Field
āA region of space in which an electric charge experiences a non-contact force. This force can be attractive or repulsiveā
Coulombās Law
Determines the force acting between two charges.
If the force has a positive value, it is a repulsive force
If the force has a negative value, it is an attractive force
F - electric force
Q1 and Q2 - charges
r - distance of separation

Electric Field Strength (E)
āThe electrostatic force that a unit positive charge would experience, at a given point in the fieldā
Radial Field
The field is stronger nearer the surface of the object, and weakens as you move further away
For a positive charge, the arrows point outwards
For a negative, the arrows point inwards

Uniform Field
Exerts that same electric force everywhere in the field

Electric Field Strength Equations
The first equation is for a radial field
Second is for a field formed by parallel plates
V- voltage
d- distance between the plates

Electric Potential
āThe amount of work done in moving a unit positive charge from infinity to that pointā
k- Coulomb constant
Q- charge
r- distance of separation

Electric potential difference
The work done moving a positive charge from one point to another

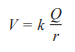
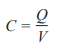
Capacitance (C)
The amount of charge a capacitor can store per unit of p.d
(Farads)

Energy stored by a capacitor
The second and third equations are derived by substituting the capacitance equation into the first

Energy stored by a capacitor- graph
Area under a charge-voltage graph gives the energy stored
The gradient of the graph is the capacitance

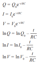
Charging graph for a capacitor

Discharging graph for a capacitor

Capacitor discharging
Q0 is the initial chargeā¦
To simplify the first three equations, take natural logs of both sides

Time Constant
The product of the resistance in the circuit and the capacitance of the capacitor
The time taken to charge the capacitor to 1-1/e of its final value
The time taken to discharge the capacitor to 1/e of its initial value
Magnetic Flux Density
A measure of the strength of a field
(Tesla)
Motor Effect
Is when a current-carrying wire experiences a force in a field
Motor Effect- magnitude of the force
B- Magnetic Flux Density (T)
I- current (A)
L- length of wire (m)

Flemingās Left Hand Rule
Direction of the force experienced by a current-carrying wire
Forefinger: point in the direction of the magnetic filed
Middle finger: the direction of the current
Thumb will be pointing in the direction of the force

Magnetic Flux
āA measure of the magnetic field that passes through a given areaā
Magnetic Flux (Wb) = Magnetic Flux Density (T) x Area (m2)
This applies if the magnetic field lines are perpendicular to the area
Magnetic Flux Linkage
more useful if using a coil
N Φ = B A N cos ┠θ
N- number of turns