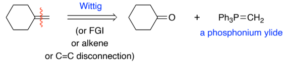
Disconnections of a double bond/2 single bonds,

0.0(0)
studied byStudied by 0 people
0.0(0)
call with kaiCall with Kai
learnLearn
examPractice Test
spaced repetitionSpaced Repetition
heart puzzleMatch
flashcardsFlashcards
GameKnowt Play
Card Sorting

1/4

encourage image

There's no tags or description

Looks like no tags are added yet.

Last updated 7:45 PM on 12/23/25
Name
Mastery
Learn
Test
Matching
Spaced
Call with Kai

No analytics yet

Send a link to your students to track their progress

5 Terms

1
New cards
term image
knowt flashcard image
2
New cards
term image
knowt flashcard image
3
New cards
term image
knowt flashcard image
4
New cards
term image
knowt flashcard image
5
New cards
term image
knowt flashcard image