1/6
Looks like no tags are added yet.
Name | Mastery | Learn | Test | Matching | Spaced | Call with Kai |
|---|
No analytics yet
Send a link to your students to track their progress

Simple Phase Change (AB)

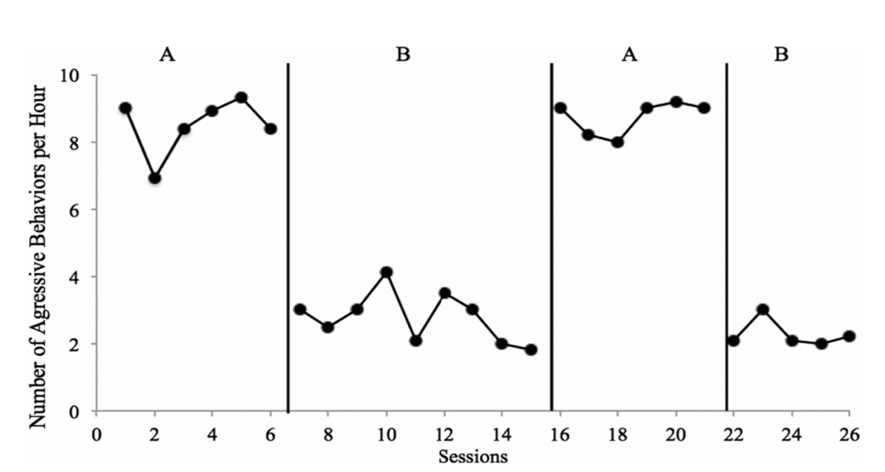
Withdrawal/Reversal (ABAB)

Combined Simple Phase Change (ABAC)

Parametric Design

Changing Criterion

Alternating Treatment Design

Multiple Baseline Design