1/118
Looks like no tags are added yet.
Name | Mastery | Learn | Test | Matching | Spaced | Call with Kai |
|---|
No analytics yet
Send a link to your students to track their progress
Which of the following chemical groups is NOT used to construct a DNA molecule?
six-carbon sugar
Which of the following structural characteristics is NOT normally observed in a DNA duplex?
uniform left-handed twist
Which of the following DNA strands can form a DNA duplex by pairing with itself at each position?
5´-AAGCGCTT-3´
The DNA from two different species can often be distinguished by a difference in the
ratio of A + T to G + C.

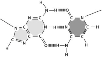
Which DNA base pair is represented in Figure 5-7?
G-C
Specific regions of eukaryotic chromosomes contain sequence elements that are absolutely required for the proper transmission of genetic information from a mother cell to each daughter cell. Which of the following is NOT known to be one of these required elements in eukaryotes?
protein-coding regions
The octameric histone core is composed of four different histone proteins, assembled in a stepwise manner. Once the core octamer has been formed, DNA wraps around it to form a nucleosome core particle. Which of the following histone proteins does NOT form part of the octameric core?
H1
Fred Griffith studied two strains of Streptococcus pneumonia, one that causes a lethal infection when injected into mice, and a second that is harmless. He observed that pathogenic bacteria that have been killed by heating can no longer cause an infection. But when these heat-killed bacteria are mixed with live, harmless bacteria, this mixture is capable of infecting and killing a mouse. What did Griffith conclude from this experiment?
The heat-killed pathogenic bacteria “transformed” the harmless strain into a lethal one.
DNA replication is considered semiconservative because
each daughter DNA molecule consists of one strand from the parent DNA molecule and one new strand.
If the genome of the bacterium E. coli requires about 20 minutes to replicate itself, how can the genome of the fruit fly Drosophila be replicated in only 3 minutes?
Drosophila DNA contains more origins of replication than E. coli DNA.

You prepare bacterial cell extracts by lysing the cells and removing insoluble debris via centrifugation. These extracts provide the proteins required for DNA replication. Your DNA template is a small, double-stranded circular piece of DNA (a plasmid) with a single origin of replication and a single replication termination site. The termination site is on the opposite side of the plasmid from the origin.
Which of the following statements is TRUE with respect to this in vitro replication system?
The leading and lagging strands compose one half of each newly synthesized DNA strand.

You prepare bacterial cell extracts by lysing the cells and removing insoluble debris via centrifugation. These extracts provide the proteins required for DNA replication. Your DNA template is a small, double-stranded circular piece of DNA (a plasmid) with a single origin of replication and a single replication termination site. The termination site is on the opposite side of the plasmid from the origin.
You decide to use different bacterial strains (each having one protein of the replication machinery mutated) in order to examine the role of individual proteins in the normal process of DNA replication.
What part of the DNA replication process would be most directly affected if a strain of bacteria lacking primase were used to make the cell extracts?
initiation of DNA synthesis

You prepare bacterial cell extracts by lysing the cells and removing insoluble debris via centrifugation. These extracts provide the proteins required for DNA replication. Your DNA template is a small, double-stranded circular piece of DNA (a plasmid) with a single origin of replication and a single replication termination site. The termination site is on the opposite side of the plasmid from the origin.
What part of the DNA replication process would be most directly affected if a strain of bacteria lacking the exonuclease activity of DNA polymerase were used to make the cell extracts?
lagging-strand completion

You prepare bacterial cell extracts by lysing the cells and removing insoluble debris via centrifugation. These extracts provide the proteins required for DNA replication. Your DNA template is a small, double-stranded circular piece of DNA (a plasmid) with a single origin of replication and a single replication termination site. The termination site is on the opposite side of the plasmid from the origin.
What part of the DNA replication process would be most directly affected if a strain of bacteria lacking helicase were used to make the cell extracts?
initiation of DNA synthesis

You prepare bacterial cell extracts by lysing the cells and removing insoluble debris via centrifugation. These extracts provide the proteins required for DNA replication. Your DNA template is a small, double-stranded circular piece of DNA (a plasmid) with a single origin of replication and a single replication termination site. The termination site is on the opposite side of the plasmid from the origin.
What part of the DNA replication process would be most directly affected if a strain of bacteria lacking single-strand binding protein were used to make the cell extracts?
Okazaki fragment synthesis

You prepare bacterial cell extracts by lysing the cells and removing insoluble debris via centrifugation. These extracts provide the proteins required for DNA replication. Your DNA template is a small, double-stranded circular piece of DNA (a plasmid) with a single origin of replication and a single replication termination site. The termination site is on the opposite side of the plasmid from the origin.
What part of the DNA replication process would be most directly affected if a strain of bacteria lacking DNA ligase were used to make the cell extracts?
lagging-strand completion

Which diagram accurately represents the directionality of DNA strands at one side of a replication fork?
Diagram D
Which of the following statements about sequence proofreading during DNA replication is FALSE?
The exonuclease activity cleaves DNA in the 5´-to-3´ direction.
Homologous recombination is an important mechanism in which organisms use a "backup" copy of the DNA as a template to fix double-strand breaks without loss of genetic information. Which of the following is NOT necessary for homologous recombination to occur?
5´ DNA strand overhangs

Figure 7-3 shows a ribose sugar. The part of the ribose sugar that is different from the deoxyribose sugar used in DNA is pointed to by arrow
5.

Figure 7-3 shows a ribose sugar. The part of the ribose sugar where a new ribonucleotide will attach in an RNA molecule is pointed to by arrow
4.
Which of the following statements is FALSE?
Unlike DNA, RNA uses a uracil base and a deoxyribose sugar.
You have a piece of DNA that includes the following sequence:
5´-ATAGGCATTCGATCCGGATAGCAT-3´
3´-TATCCGTAAGCTAGGCCTATCGTA-5´
Which of the following RNA molecules could be transcribed from this piece of DNA?
5´-AUAGGCAUUCGAUCCGGAUAGCAU-3´

Which amino acid would you expect a tRNA with the anticodon 5´-CUU-3´ to carry?
lysine
Which of the following statements about the proteasome is FALSE?
Misfolded proteins are delivered to the proteasome, where they are sequestered from the cytoplasm and can attempt to refold.
A neuron and a white blood cell have very different functions. For example, a neuron can receive and respond to electrical signals, while a white blood cell defends the body against infection. This is because
the neuron expresses some mRNAs that the white blood cell does not.
The distinct characteristics of different cell types in a multicellular organism result mainly from the differential regulation of the
transcription of genes transcribed by RNA polymerase II.
Which of the following statements about transcriptional regulators is FALSE?
Transcription regulators interact only with the sugar–phosphate backbone on the outside of the double helix to determine where to bind on the DNA helix.
Operons
contain a cluster of genes transcribed as a single mRNA.
The tryptophan operator
binds to the tryptophan repressor when the repressor is bound to tryptophan.
Which of the following statements about the Lac operon is FALSE?
The Lac repressor binds when lactose is present in the cell.
How are most eukaryotic transcription regulators able to affect transcription when their binding sites are far from the promoter?
by looping out the intervening DNA between their binding site and the promoter
Which of the following statements about nucleosomes is TRUE?
Histone acetyltransferases affect transcription by both altering chromatin structure to allow accessibility to the DNA and by adding acetyl groups to histones that can bind proteins that promote transcription.
Combinatorial control of gene expression
involves groups of transcription regulators working together to determine the expression of a gene.
In principle, how many different cell types can an organism having four different types of transcription regulators and thousands of genes create?
up to 16
Which of the following statements about iPS cells is FALSE?
iPS cells made from mouse cells can differentiate into almost any human cell type.
The MyoD transcriptional regulator is normally found in differentiating muscle cells and participates in the transcription of genes that produce muscle-specific proteins, such as those needed in contractile tissue. Amazingly, expression of MyoD in fibroblasts causes these cells derived from skin connective tissue to produce proteins normally only seen in muscles. However, some other cell types do not transcribe muscle-specific genes when MyoD is expressed in them. Which of the following statements below is the best explanation of why MyoD can cause fibroblasts to express muscle-specific genes?
During their developmental history, fibroblasts have accumulated some transcriptional regulators in common with differentiating muscle cells.
Which of the following is NOT a general mechanism that cells use to maintain stable patterns of gene expression as cells divide?
proper segregation of housekeeping proteins when cells divide
miRNAs, tRNAs, and rRNAs all
do not code for proteins.
MicroRNAs
are produced from a precursor miRNA transcript.
Which of the following statements is FALSE?
A mutation that arises in a mother’s somatic cell often causes a disease in her daughter.
You discover that the underlying cause of a disease is a protein that is now less stable than the non-disease-causing version of the protein. This change is most likely to be due to
a mutation within a gene.

Two individuals are represented in Figure 9-6; individual 1 is one of the parents of individual 2. The asterisk indicates the occurrence of a single mutation.
What is the chance that individual 2 will inherit the mutation in individual 1?
50%
Which of the following changes is least likely to arise from a point mutation in a regulatory region of a gene?
A mutation that changes the subcellular localization of a protein.

Figure 9-12 shows the evolutionary history of the globin gene family members.
Given this information, which of the following statements is TRUE?
The fetal β-globins arose from a gene duplication that occurred 200 million years ago, which gave rise to a β-globin expressed in the fetus and a β-globin expressed in the adult.

Which of the following is the least likely to be a selectively neutral mutation? (The codon table in Figure 9-14 will help you answer this question.)
A mutation that changes the TAT codon to the TAG codon in a protein-coding gene.
Which of the following functions do you NOT expect to find in the set of genes found in all organisms on Earth?
RNA splicing
A finished draft of the human genome was published in
2004

Two individuals are represented in each choice in Figure 9-42; individual 1 is one of the parents of individual 2. The asterisk seen in each choice indicates the occurrence of a single mutation during the cell division. Which of the choices in Figure 9-42 will lead to a mutation in every cell of the individual in which the original mutation occurred?
C
Imagine that an RNA polymerase is transcribing a segment of DNA that contains the following sequence:
′-AGTCTAGGCACTGA-3′
3′-TCAGATCCGTGACT-5′
If the polymerase is transcribing from this segment of DNA from left to right, which strand (top or bottom) is the template?
The bottom strand
Erwin Chargaff showed that base composition is constant within the species A=T and C=G
True
in a DNA double helix, bases are connected by covalent bond
False. Bases are connected by hydrogen bonds
humans have the highest number of chromosomes, because humans are the most evolved and complex species on earth
False. Not highest number of chromosomes, no strong correlation between organism complexity and number of chromosomes
nucleosome is a general name for a protein found in the nucleus
False. It’s a basic unit of DNA wrapped around a histone octamer.
DNA replication is conservative
False. Semi-conservative
replication origins are DNA sequences rich in G-C pairs
False. A-T pairs (connected by 2 bonds - weaker), or in general something easier to pry apart (G-C is connected by 3 bonds - stronger)
DNA polymerase and RNA polymerase are similar because they both need a primer
False. RNA polymerase does not need a primer
Okazaki fragments are formed in the leading strand
False. Lagging strand
depurination is a method by which the nucleotide adenine is converted into uracil
False. Removal of adenine or guanine (purines) from a nucleotide
sigma factor is a subunit of the eukaryotic RNA polymerase
False. Subunit of prokaryotic RNA polymerase
unlike prokaryotes, eukaryotes have more than one type of RNA polymerase
True
polyadenylation is the process of adding nucleotides to prokaryotic siRNA
False. Process of adding multiple adenines to 3’ of RNA
peptide bond is formed by a specialized protein in the ribosomal large subunit
False. RNA in ribosome large unit catalyzes peptide bond
tRNAs are specialized adaptors which match the mRNA codons to an amino acid
True
proteasomes are places within cells where proteins are degraded and recycled
True
tryptophan operon is activated by the presence of tryptophan in cells
False. Inhibited by presence of tryptophan
miRNAs and siRNAs are both encoded by the cells’ genome
False. siRNA are parts of infecting viruses
mutations in DNA can only occur in regions that do not code for protein
False. Can occur in all regions of DNA
exon shuffling is a way of creating multiple different types of proteins
True
The Griffith/ Avery/ McLeod/ McCarty experiment showed that DNA is the carrier of genetic information.
In this work, how did Griffith show that DNA and not proteins carried genetic information?
coinfection with heat inactivated pathogenic and live non pathogenic – killed the mice, something was transported from pathogenic to non pathogenic strain
The Griffith/ Avery/ McLeod/ McCarty experiment showed that DNA is the carrier of genetic information.
In this work, how did Avery, MacLeod, and McCarty show that DNA and not proteins carried genetic information?
broke down the different components of pathogenic – dna, rna, proteins.. Added to non pathogenic and observed that only dna made them pathogenic
also treated pathogenic with inhibitors of dna, rna, protein – showed that could not become pathogenic when dna was digested with dnase.
Describe the DNA double helix backbone
covalent bond (phosphodiester bond) between 3’ sugar and 5’ phosphate group of the next nucleotide
Describe the DNA double helix base pairs
hydrogen bonds. A-T 2 bonds, G-C 3 bonds
What stabilizes the double helix structure of DNA?
hydrophobic, van der waals interactions
5’ CGCACGCCGCGAGCCGCTGGCGCTCGGGCTCCGCTCGGATCCCATGCAACAGCCACGAT 3’
Write the complementary DNA strand sequence
3’ GCGTGCGGCGCTCGGCGACCGCGAGCCCGAGGCGAGCCTAGGGTACGTTGTCGGTGCTA 5’
Sketch the DNA replication fork. What does the fork look like?
5’ to 3’ top strand, 3’ to 5’ bottom strand, strands split apart part of the way to form the fork
Sketch the DNA replication fork. Where is the most recently synthesized DNA?
they’re in the region near where strands are still connected
Sketch the DNA replication fork. What is the leading strand?
3’ to 5’ bottom strand where continuous, long-strand synthesis occurs first
Sketch the DNA replication fork. What is the lagging strand?
5’ to 3’ top strand where discontinuous, short Okazaki fragments are synthesized
Sketch the DNA replication fork. Describe the primers and Okazaki fragments.
Primer first moves along leading strand to form continuous long-strand, then moves along lagging strand to form discontinuous short Okazaki fragments.
Why is the lagging strand replicated in patches and not continuous as leading strand?
Because DNA polymerase can only replicate 5’ to 3’
Describe which enzymes are needed to synthesize the lagging strand and their roles: Primase
synthesizes short RNA primer to begin replication
Describe which enzymes are needed to synthesize the lagging strand and their roles: DNA polymerase
extends the Okazaki fragment until it runs into next RNA primer
polymerization (5’ to 3’) and proofreading (3’ to 5’)
Describe which enzymes are needed to synthesize the lagging strand and their roles: Ribonuclease
degrades the RNA primer
Describe which enzymes are needed to synthesize the lagging strand and their roles: Repair polymerase (DNA polymerase I)
replaces the RNA with DNA
Describe which enzymes are needed to synthesize the lagging strand and their roles: DNA ligase
joins the DNA fragments (5’ P to 3’ OH)
List 7 proteins involved in DNA replication.
initiator proteins, DNA polymerase, DNA primase, ribonuclease, repair polymerase, ligase, DNA helicase, single-stranded DNA-binding protein, sliding clamp, topoisomerase
Proteins in DNA replication: What is the function of initiator proteins?
helix opening at replication origin
Proteins in DNA replication: What is the function of DNA helicase?
unzipping DNA helix prior to replication
Proteins in DNA replication: What is the function of single-stranded DNA-binding protein?
prevent reannealing
Proteins in DNA replication: What is the function of sliding clamp?
keeps DNA polymerase attached to template and on lagging strand, releases when Okazaki fragment is completed
Proteins in DNA replication: What is the function of topoisomerase?
relieves tension that builds up in front of a replication fork
What is the role of telomerase in the cell?
adds specific telomer sequence to the 3’ end of the lagging strand to ensure the ends of the chromosomes are replicated by DNA polymerase, also mark the ends of chromosomes
How would deletion of the telomerase gene affect rapidly dividing cells?
If telomerase is not present, each time a cell divides, a part of the tip of the chromosome is lost. For rapidly dividing cells, this would mean losing genetic information which can lead to dysfunction
With regard to double stranded DNA break repair: compare homologous and non-homologous recombination. Which will result in a more accurate DNA repair?
Non-homologous recombination = connecting broken strands together quickly. Nuclease digests broken ends, then ligase closes open ends.
Homologous recombination = occurs when newly synthesized homologous chromosome is available, serves as template to synthesized lost information
Homologous is more accurate because there is template
If you put a soybean gene (including the promoter) in bacteria, there is a high likelihood that no transcription will occur. Compare and contrast transcription in eukaryotes and prokaryotes.
Need a specific promoter for bacterial RNA pol to recognize. For both, basic concepts are same: initiation, elongation, termination. RNA pol is doing the transcription
Eukaryotes: need general transcription factors to initiate, TFIID binds TATA box, 3 types of RNA pols, RNA processing
Prokaryotes: sigma factor to recognize initiation sequence, 1 type of RNA pol, no RNA processing
What are the basic steps involved in ribosome assembly on a mRNA?
mRNA binds to small ribosomal subunit with translation initiation factors and initiator tRNA bound
Small ribosomal subunit (w/ bound initiator tRNA) moves along mRNA searching for first AUG
translation initiation factors dissociate, large ribosomal subunit binds
What are tRNAs?
adapter molecules that link codons with amino acids
Which step in protein translation are tRNAs important for?
They “deliver” the correct amino acid during synthesis of the peptide chain

Which amino acid would you expect a tRNA with the anticodon CCA to carry?
Tryptophan