1/98
Looks like no tags are added yet.
Name | Mastery | Learn | Test | Matching | Spaced | Call with Kai |
|---|
No analytics yet
Send a link to your students to track their progress
pitch velocity, linear velocity of pitch point

velocity/gear/speed ratio

center distance

whole depth

clearance

working depth

backlash

circular pitch

diametral pitch

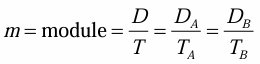
module

diametral and circular pitch relation

values of pressure angles

tangential load

radial load or separating force

normal load

torque

beam strength of the tooth or tangential load considering lewis equation

permissible working stress

dynamic load

normal circular pitch

normal diametral pitch

pressure angle

transverse module

normal module

formative or equivalent number of teeth

tangential tooth load considering lewis helical

dynamic tooth load

Axial thrust, Normal thrust, and Tangential thrust relation

absolute viscosity

diametral clearance

radial clearance

diametral clearance ratio

eccentricity

attitude or eccentricity ratio

short,long, or square bearing

bearing characteristic number (bcn)

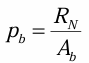
bearing pressure on the projected bearing area

coefficient of friction in metric

coefficient of friction in English

heat generated in bearing

load on the bearing

rubbing velocity

heat dissipated in the bearing

temperature equation

mean radius of friction surface in uniform pressure and uniform wear

pressure considering uniform pressure

pressure and wear constant considering uniform wear

number of pairs of contact surfaces

total frictional torque on the clutch or the frictional surfaces in multiple disc clutch

total frictional torque in cone clutch

pressure considering uniform pressure in cone clutch

pressure and wear constant considering uniform axial wear in cone clutch

axial force in cone clutch

engaging axial force in cone clutch

KE of translation

KE of rotation

total KE to be absorbed by brake

change in PE

Heat generated on the brake

Heat dissipated on the brake

temp difference between the exposed radiating surface and surrounding air

rise in temperature of the brake drum

tangential brake force if 2θ<60

braking torque if 2θ<60

bearing pressure

projected bearing area of the block or shoe

limiting ratio of the tensions

braking torque on the drum in simple band brake

Taking moment about the fulcrum when O is T2 and B is T1 (CLOCKWISE) in simple band

Taking moment about the fulcrum when O is T1 and B is T2 (COUNTER-CLOCKWISE) in simple band

maximum tension in the band in simple band brake

Taking moment about the fulcrum in clockwise in differential band brake

Taking moment about the fulcrum in counter clockwise in differential band brake

Total frictional torque

breaking torque when 2θ>60

equivalent coefficient of friction when 2θ>60

normal force acting on the band in simple band brake

open: angle and length
sin α, θ1, θ2, L-belt

cross: angle and length
sin α, θ1, θ2, L-belt

belt speed and velocity ratio

belt slip

Flat belt: Tension of belt

Torque

Net belt pull

Bending Load

Power

Centrifugal Tension

Mass for Centrifugal Tension

Belt Tension with Fc

Belt Max Stress w/ and w/o Fc

V-belt: Ratio of Driving Tension

Fibre Rope: Ratio of Driving Tension

Roller Chain: Pitch and Pitch Circle Diameter

Roller Chain: Velocity Ratio

Roller Chain: Average Velocity

Roller Chain: Length of Chain

Roller Chain: # of Chain Links

Roller Chain: Center Distance

Sprocket: Angle of Articulation
Angle of Articulation = 360/teeth