AP Calc BC- Unit 3

0.0(0)
studied byStudied by 0 people
call kaiCall Kai
learnLearn
examPractice Test
spaced repetitionSpaced Repetition
heart puzzleMatch
flashcardsFlashcards
GameKnowt Play
Card Sorting

1/10

encourage image

There's no tags or description

Looks like no tags are added yet.

Last updated 2:17 AM on 10/23/25
Name
Mastery
Learn
Test
Matching
Spaced
Call with Kai

No analytics yet

Send a link to your students to track their progress

11 Terms

1
New cards

=

exponent rule

2
New cards

=

exponential rule

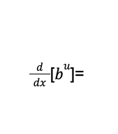
3
New cards

=

exponential rule

4
New cards

=

natural log rule

5
New cards

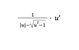
6
New cards
term image
knowt flashcard image
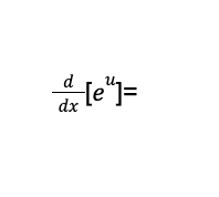
7
New cards
<p></p>

<p></p>
8
New cards
term image
knowt flashcard image
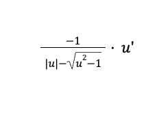
9
New cards
term image
knowt flashcard image
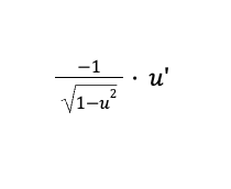
10
New cards
term image
knowt flashcard image
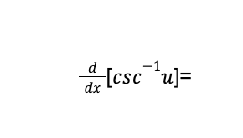
11
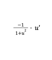
New cards
term image
knowt flashcard image

Explore top flashcards

Design T1
Updated 1118d ago
flashcards Flashcards (32)
stylistika
Updated 42d ago
flashcards Flashcards (103)
APUSH Unit 2 Vocab
Updated 903d ago
flashcards Flashcards (35)
Chem :0
Updated 1133d ago
flashcards Flashcards (24)
Design T1
Updated 1118d ago
flashcards Flashcards (32)
stylistika
Updated 42d ago
flashcards Flashcards (103)
APUSH Unit 2 Vocab
Updated 903d ago
flashcards Flashcards (35)
Chem :0
Updated 1133d ago
flashcards Flashcards (24)