1/78
Introduction to Public Policy Analysis and Administration
Name | Mastery | Learn | Test | Matching | Spaced | Call with Kai |
|---|
No analytics yet
Send a link to your students to track their progress
When did NPM reforms across Europe start?
In the 1970s: a long process of change
Have NPM reforms been construed as a technical, rational analytic, and evidence-based domain, disconnected from party political life, or, conversely, have these reforms been characterised by a growing political profile over time?
Technical and evidence-based decisions by high-level public administration officials VS ideologically driven decisions by political parties
Electoral agendas of political parties
Empirical approach
Longitudinal analysis (across different decades, up to 2010) of European party manifestos from the postwar period onwards
Textual space devoted to NPM reforms
Right-wing parties VS left-wing parties —> what is the difference?
Data on party manifestos —> from what database? What is it about?
Comparative Manifesto Project (CMP) database
➢ Quantitative information on the content of party programs
➢ % of quasi-sentences (i.e. part of a sentence that conveys a single idea/policy position)
➢ 56 categories covering various policy issues (e.g. external relations, the political system,
the economy, welfare, migration, etc.)
NPM data on party manifestos
Per303 variable: “the need for efficiency and economy in government and administration, cutting down civil service, improving governmental procedures or making the process of government and administration cheaper and more effective” (CMD codebook: 10)
—> European countries (West and East)
Why the difference between West and East?
because they have different history (e.g. pre-1990 there were no political parties in USSR countries)
different WW2-aftermath
The increasing politicisation of NPM reforms through time
when the cv is low —> different political parties are kind of devoting more space to NPM reforms —> increasing political attention to NPM reforms

Cross-country differences —> why?
Neoliberal turn of the 70s
Different degrees of politicisation
Average saliency of NPM reforms in Anglo-Saxon and Scandinavian countries (1950-2010)

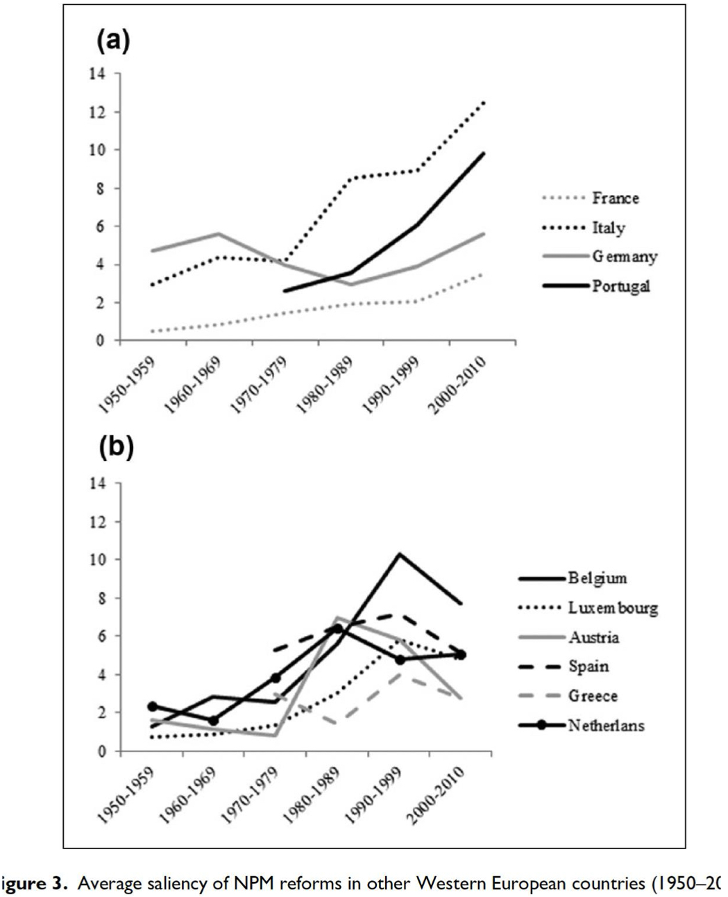
Average saliency of NPM reforms in other Western European countries (1950-2010)

NPM reforms in Western Europe —> what about the saliency of NPM?
Has consistently increased over time in indicating a growing politicisation
NPM reforms in Western Europe and the degree of politicisation
Has varied across countries: In countries with Scandinavian and Anglo-Saxon administrative traditions, NPM reforms have been less politicised over time compared to other countries
What cab this lower politicisation be attributed to in Scandinavian and Anglo-Saxon countries?
To their decentralised and flexible legal frameworks
(Western Europe NPM reforms) Decentralisation and local autonomy
➢ High in Scandinavian and Anglo-Saxon countries
—> More pragmatic, locally driven reforms rather than centralised political control
➢ Low in Napoleonic and Germanic systems: centralisation leads to stronger political influence and top-down control
—> Reforms more susceptible to politicisation
(Western Europe NPM reforms) Legalism and flexibility
➢ Anglo-Saxon system offers flexibility and adaptability through judicial precedents rather than rigid codified rules
Administrative reforms evolve pragmatically (no need for significant political intervention)
➢ Scandinavian countries have open and adaptable legal frameworks
Smooth, incremental changes seen as technical rather than political
➢ The Napoleonic and Germanic systems may necessitate legislative action for administrative changes, leading to political debates and resistance
NPM reforms in Eastern Europe
Have rapidly spread across party manifestos (post-Soviet Union collapse)
—> spread of free-market principles in state institutions’ organisation

EU enlargement policy to the East of Europe
➢ Accession norms
➢ To demonstrate their administrative capacity to effectively apply EU regulation to obtain their EU membership
(Eastern Europe NPM reforms) Initial bipartisan support
➢ Homogenisation of party NPM positioning
➢ Uncertainty generated by the transition from socialism to capitalism
How were political and economic models of the EU perceived in Eastern Europe?
As normatively ‘superior’ for geopolitical reasons

NPM reforms in Europe
Increased political attention to them (because public management reforms were often seen as technical, evidence-based domains and disconnected from party politics)
—> Western Europe (from the 1970s)
—> Eastern Europe (from the 1990s)
Western Europe (from the 1970s)
➢ Associated with right-wing parties and NPM neoliberal ideas+economic theories
➢ Less ideologised and implemented as technical frameworks in Scandinavian and Anglo-Saxon countries
Eastern Europe (from the 1990s)
Initially more bipartisan, influenced by the decline of socialist ideas and the adoption of EU models ➢ Later on more associated with right-wing parties’ ideas
Why do national parties promise to introduce NPM reforms?
Because NPM reforms compete with other policy issues on the political agenda that may be more appealing to the electorate —> Political, economic and institutional context
NPM saliency increases with?
Right-wing ideology
Increasing individual wealth
Increasing indebtedness
Decreasing government effectiveness (in policymaking)
Decreasing local autonomy of administrative systems
Decreasing local autonomy of administrative systems
More centralisation (—> Napoleonic and Germanic systems) —> more NPM
What are the ideological drivers of NPM reforms across Western Europe?
➢ Right-wing parties have been the primary advocates of NPM reforms as they view them as a means to achieve:
fiscal discipline
efficiency
a reduced role of the state
➢ Their support aligns with neoliberal economic philosophies, emphasizing market-driven principles and public sector downsizing
Electoral strategy and NPM reforms (Western Europe)
➢ NPM reforms are often strategic electoral promises aimed at appealing to tax-conscious voters (particularly those with higher incomes who favour lower public expenditure and greater efficiency)
NPM reforms are not a ‘one-size fits all’
While the core principles of NPM reforms are rooted in rational, evidence-based economic theories, their prominence in party manifestos indicates a growing political dimension, closely tied to neoliberal ideas of state organisation
In what way do parties promise NPM reforms?
As a technical policy solution to fiscal and administrative challenges
As a neoliberal project reflecting right-wing electorates’ preferences
As a neoliberal project reflecting right-wing electorates’ preferences
Advocating for downsizing the public sector through free-market policies
How does this apply to space policy?
Space policy:
ensures that space activities are conducted safely, sustainably, and equitably
balances national interests with global cooperation to promote the peaceful use of outer space
Global Positioning System (GPS) Navigation
Driving with navigation apps (Google Maps, Waze)
Tracking deliveries, ride-sharing services (Uber, Lyft)
Personal fitness tracking (running, cycling)
Telecommunications
Depends on satellites! —> Depends on how outer space is governed!
Making international phone calls, video conferencing (Zoom, Microsoft Teams)
Accessing satellite TV and internet services (Dish Network, Starlink)
Agriculture and GPS
Precision farming uses GPS to plant and irrigate, crop monitoring via satellite imagery and to plant based on weather schedules
Space Policy in the NewSpace age - Alexander Brans
Introduction: what is space policy?
Space activities in the NewSpace era: understanding policy
evolutions from the Cold war to the space market economy
Space traffic management
Policy Arena of NewSpace
New Space
The rise of Elon Musk is linked to the marketisation of space policy
Capitalising on the opening up of space policy to private enterprise
What is Space Policy?
=“a process of developing, prioritising and implementing a plan of action in space developed by a government entity entrusted with the task”
Why does space policy matter?
Space technologies play a critical role in contemporary economic and security initiatives (e.g. to manage natural resources, forecast weather, monitor climate change, influence modern warfare…)
What are the three intertwined trends which produced NewSpace?
The Democratisation of space
The militarisation of space
The commercialisation of space activities
The Democratisation of space
the cost reduction and innovations in space technologies
an increase in the number of spaceflights
The militarisation of space
rivalries in international politics
the development of space military assets —> space as a domain of warfare
The commercialisation of space activities
Capitalists are interested in space —> resource extraction, human habitats…
When did space activities start and why?
In the 1950s with the launch of Sputnik 1
What are the three stages of the space race Sputnik 1 triggered in the US (1950s and 1960s)?
Satellite and rocket competition
Human spaceflight competition
Lunar landing competition
An “introduction to outer space” —> what are the four objectives of the US that the United States Scientific and Advisory Commission published?
Exploration
Defense
National prestige
Scientific achievements
The establishment of the Committee on the Peaceful Uses of Outer Space
The UN established it in 1959

Which are the five international space treaties ratified by the UN to regulate space activities? And when were these created?
The Outer Space Treaty (1967)
The Rescue agreement (1968)
The Liability Convention (1972)
The Registration Convention (1976)
The Moon Treaty (1984)
What two declarations does the 1967 Outer Space Treaty make?
Outer space is for the “benefit of all countries” (Article 1)
Space must be used for “peaceful purposes” (Article 4)
So what are the OST’s three major shortcomings then?
The principle of freedom arguably undermines the principle of equality (art1)
It does not mention individuals or corporations (only nations)
It authorises the “militarisation of space” for peaceful purposes (art 4)
The moon treaty and the OST
Tries to strengthen the OST
—> “The Moon and its resources are the common heritage of mankind”
Defines what in the benefit of all nations means
—> “No nation can own the Moon, regions of the Moon or the ice on its polar caps”
Who ratified the moon treaty? What about the original signatories?
The US, China and most other UN members did not ratify it
None of the original signatories were spacefaring nations
Which are the two critical developments that have paved the way to the privatisation of some space activities?
The Cancellation of the Constellation program (2010)
The Commercial Space Launch Competitiveness Act (2015)
Why does the Commercial Space Launch Competitiveness Act contradict the other treaty?
Because it stipulates that and US citizen can extract whatever from space and also sell it
What was the twofold goal of the Obama Administration?
Allow the industry to grow independently
Relieve taxpayers from the burden of costs
Private Space: PPPS in Space —> the case of SpaceX
was established in 2002 by Elon Musk
is valued at 100 billion US dollars (2021)
What are SpaceX’s two stated goals?
Make humanity multi-planetary
Revolutionise the space industry
What did SpaceX do in 2020?
Be there first company sending humans to the International Space Station
What happened to SpaceX in 2021?
It won nearly 3 billion US dollar contracts to use its reusable Starship spacecraft to return to return NASA and the US to the Moon
The role of public administrations
Private actors are reliant on the state for:
Fundings
Launch facilities
Legal and political support
What does communication help SpaceX with?
To catch policymakers’ attention
—> 2003: SpaceX parked a seven-story flatbed truck outside the Federal Aviation Administration headquarter
—> 2016: Elon Musk pledged to save humanity in a manifesto
—> 2018: Elon Musk sent a Tesla into space
SpaceX, Starlink and Swarm Technologies

Elon Musk’s questionable motives behind private space
Colonising Mars
Terraform Mars by nuking its atmosphere
—> requires at least 10000 nuclear missiles
—> according to astrobiologists the atmosphere would still be too dry to rain
Space traffic management —> what is one of the most pressing consequences of NewSpace?
The need for an up-to-date governance framework
Why is there a need for an updated framework?
The proliferation of spacecrafts
The inability of new tracking systems to perform certain tasks
The proliferation of spacecrafts
600.000 space debris larger than 1 cm
58.000 satellites by 2030
The inability of new tracking systems to perform certain tasks
Like monitoring objects smaller than 5 cm and tracking more than 200.000 spacecrafts
What does the current academic debate to structure stakeholders’ interactions revolve around?
The concept of space traffic management
What is the definition of Space traffic management?
=“a set of technical and regulatory provisions for promoting safe access into outer space, operations in outer space and return from outer space to Earth free from physical or radio-frequency interference”
Why does space traffic management matter? For two reasons
The proliferation of space debris threatens the long-term sustainability of space activities
Some kind of cooperation between stakeholders is needed to prevent the Kessler Syndrome
What is the Kessler syndrome?
=“hypothetical scenario where the density of space objects in low Earth orbit is high enough that collisions between objects could cause a cascade of further collisions, exponentially increasing the number of debris”
What can lead to the Kessler syndrome?
An uncontrolled growth of space objects in Earth’s orbit
What is The National Space Council, when was it published and what does it do?
A part of the executive office of the President of the US
was published the Space Policy Directive 3 in 2018
—> writes US space policy and coordinates space activities in consultation with other US departments
What is the Space Policy Directive 3?
The first national space traffic management Policy
What does STM refer to?
Space Traffic Management
What is the policy goal of the Space Policy Directive 3?
Maintain US leadership in space developing a new approach to STM —> transfers the civilian SSA and STM functions from the Department of Defence to the Department of Commerce
What two institutions play an important role in STM?
The EU
The European Space Agency (ESA); independent from the EU
A visualisation of these two institutions’ role

The Policy Arena of NewSpace: a visualisation

Four conclusions
States will remain the most relevant space policy stakeholders for the foreseeable future
International space law is currently inadequate
—> current treaties are the product of the Cold War
NewSpace is transforming space activities
—> offers new market and technological opportunities but also contributes to the acceleration of dangerous trends for space sustainability
A comprehensive governance framework remains unlikely for the foreseeable future
—> but space traffic coordination is necessary for long-term sustainability of outer space activities