1/12
Looks like no tags are added yet.
Name | Mastery | Learn | Test | Matching | Spaced | Call with Kai |
|---|
No analytics yet
Send a link to your students to track their progress
y = sinx
y’ = cosx
y = cosx
y’ = -sinx
y = tanx
y’ = sec²x
y = cscx
y’ = -cscxcotx
y = secx
y’ = secxtanx
y = cotx
y’ = -csc²x
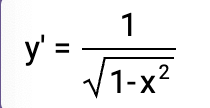
y = arcsinx

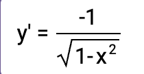
y = arccosx

y = arctanx

y = lnx
y’ = 1/x
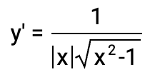
y = arcsecx

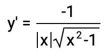
y = arccscx

y = arccotx
