1/22
Looks like no tags are added yet.
Name | Mastery | Learn | Test | Matching | Spaced | Call with Kai |
|---|
No analytics yet
Send a link to your students to track their progress
formula for area of a sector



Cos double angle (only in cosx)

Cos double angle (only in sinx)

Tan double formula


2cosx

2i sinx
difference between an egg and dimple

Stupid version of hookes law

potential energy with the stupid hookes law

direction cosines
(can be called l,m,n)

cross product version of a line

distance between 2 skew lines

Cosh x

Sinh x

Tanh x

How to find vertical tangent in polar coords
Find dx/dθ
How to find horizontal tangent in polar
Find dy/dθ
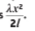
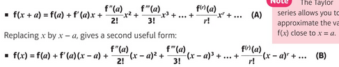
formula for taylor series

leibniz theorem (nth derivatives)

the weierstrass sub

Simpsons rule (informal)

how to know if a function is concave/convex on an interval
