1/19
Looks like no tags are added yet.
Name | Mastery | Learn | Test | Matching | Spaced | Call with Kai |
|---|
No analytics yet
Send a link to your students to track their progress
Utility
U(x,y)
Perfect Substitutes formula
U(x,y) = Ax + By
True or false
if x and y are perfect substitutes, then U(x,y) = Ax + By
True

Define the letter highlighted in green:
The Marginal Utility

Define A
The added satisfaction (u) form consuming 1 more x

Define B
The added satisfaction (u) form consuming 1 more y

Define A/B
MUx/MUy


What does MUx/MUy mean?
The Marginal Rate of Satisfaction

Meaning
The exchange rate of x:y in terms of satisfaction

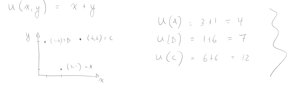
Order the bundles in order of preference
C > B > A

MRS (perfect substitutes) =
1/1, which equal A/B (a constant)
If MRS is constant:
then variety does not matter, ONLY volume.
Indifference Curves
lines which connect all bundles that give a particular level of utility

which graph is this?
Perfect Substitutes

which graph is this?
Perfect Compliments

which graph is this?
Cobb-Douglas
Perfect Compliments formula:
U(x,y) min(Ax,By)
Cobb-Douglas formula
U(x.y) = xαyβ
True or false
α + β ≠ 1
False, α + β = 1
Cobb-Douglas MRS formula:
