1/9
Looks like no tags are added yet.
Name | Mastery | Learn | Test | Matching | Spaced | Call with Kai |
|---|
No analytics yet
Send a link to your students to track their progress

Future Value

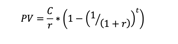
Present Value

Solving for Interest Rate

Solving for Time in compound interest

Solving when there is compounding interest

solving for rate of return/ compound annual growth rate

solve for time in compound interest questions

solve for PV of normal annuity