reproduction

0.0(0)
studied byStudied by 0 people
full-widthCall with Kai
GameKnowt Play
learnLearn
examPractice Test
spaced repetitionSpaced Repetition
heart puzzleMatch
flashcardsFlashcards
Card Sorting

1/55

encourage image

There's no tags or description

Looks like no tags are added yet.

Study Analytics
Name
Mastery
Learn
Test
Matching
Spaced

No study sessions yet.

56 Terms

1
New cards

groups of vascular plants

pteridophytes - ferns, horsetails (spores)

seed plants → angiosperms (most abundant) and gymnosperms

2
New cards

reproduction

production of new individuals

can be new genets or ramets

3
New cards

genets

sexually formed, genetically distinct

4
New cards

ramets

asexually formed, clones

5
New cards

angiosperms - forms of reproduction

separate sexes, self-fertilization → sexual reproduction

apomixis

6
New cards

sexual reproduction in angiosperms - meiosis

in meiosis diploid parent cell, macrospore or microspore, divides into four haploid cells (spores)

macrospore → haploid cell develops into four cells, embyronic sac cell and 3 degenerate cells

microspore → haploid cell develops into four cells, pollen tetrad

spores are gametophyte generation - will form embryo sac or pollen grain

<p>in meiosis diploid parent cell, macrospore or microspore, divides into four haploid cells (spores)</p><p>macrospore → haploid cell develops into four cells, embyronic sac cell and 3 degenerate cells</p><p>microspore → haploid cell develops into four cells, pollen tetrad</p><p>spores are gametophyte generation - will form embryo sac or pollen grain</p>
7
New cards

gynoecium

ovary

macrospore/ovule found within

undergoes meiosis and mitosis to form the megagametophyte/embryo sac

<p>ovary</p><p>macrospore/ovule found within</p><p>undergoes meiosis and mitosis to form the megagametophyte/embryo sac</p>
8
New cards

androecium

anther

microspre divides into pollen tetrad during meiosis, then microgametophyte is formed via mitosis - pollen (then pollen tube and pollen grain develop)

<p>anther</p><p>microspre divides into pollen tetrad during meiosis, then microgametophyte is formed via mitosis - pollen (then pollen tube and pollen grain develop)</p>
9
New cards

sexual reproduction in angiosperms - mitosis

haploid gametophyte (spore) grows by producing egg, antipodal cells, polar nuclei, and synergid (megagametophyte)

as well, the pollen tetrad falls apart and each cell (haploid gametophyte spore) grows into two cells → 1-2 generative and 1 tube cells (microgametophyte)

<p>haploid gametophyte (spore) grows by producing egg, antipodal cells, polar nuclei, and synergid (megagametophyte)</p><p>as well, the pollen tetrad falls apart and each cell (haploid gametophyte spore) grows into two cells → 1-2 generative and 1 tube cells (microgametophyte)</p>
10
New cards

sexual reproduction in angiosperms - fertilization

pollen lands on stigma and the pollen tube forms, reaching to the ovary to reach the ovule where the egg is

sperm cell 1 fuses with the egg to form the zygote

sperm cell 2 fuses with the polar nuclei to form the endosperm (food storage)

<p>pollen lands on stigma and the pollen tube forms, reaching to the ovary to reach the ovule where the egg is</p><p>sperm cell 1 fuses with the egg to form the zygote</p><p>sperm cell 2 fuses with the polar nuclei to form the endosperm (food storage)</p>
11
New cards

selfing in plants

ex Stipa capillata - needle grass which is facultative

can pollinate via cleistogamy or wind pollination

adaptation to severe weather? or ensures reproduction

12
New cards

cleistogamy

self reproduction with closed flowers, instead it remains in leaf sheath to allow self pollination

13
New cards

consequences of selfing in plants

- : reduction of genetic variability, and ability to colonize

+: significantly less resource allocation to reproduction, reproductive insurance

for ex mean pollen grains produced in cleistogamous or obligate selfer plants is quite lower

14
New cards

apomixis

form of asexual reproduction - not vegetative

clonal reproduction of seeds, offspring is genetically similar to mother plant

ex diplospory

15
New cards

diplospory

meiosis is skipped, instead mother cell multiplies to diploid megaspore (and degenerative cell)

then there is mitosis of megaspore cell

pseudogamy (resulting in embryo identical to mother) OR autonomous endosperm (no fertilization by pollen)

<p>meiosis is skipped, instead mother cell multiplies to <u>diploid</u> megaspore (and degenerative cell)</p><p>then there is mitosis of megaspore cell</p><p>pseudogamy (resulting in embryo identical to mother) OR autonomous endosperm (no fertilization by pollen)</p>
16
New cards

pseudogamy

fertilization of endosperm by pollen, but not the egg

as occurs in diplospory

17
New cards

diplospory example

common among taraxacum species (dandelion)

seeds are the genetic clone of mother plant - genetic differences occur by mutation or hybridization

generations are clonal lineages which can become microspecies

theres about 3000 microspecies, which are commonly divided into aggregate groups as not many people can see the differences

18
New cards

clonal growth

production of genetically identical ramets through growth of stems, roots or leaves

ramets can remain connect or become independent

benefits: vegetative reproduction, forage potential, resource storage, response to disturbance, resource sharing, genet longevity

19
New cards

stolons

type of clonal growth

above ground growth

ex fragaria

20
New cards

epigeogenous rhizomes

type of clonal growth

partly above ground, shorter, more storage capacity and buds

21
New cards

hypogeogenous rhizomes

type of clonal growth

all underground growth, long reach, less storage capacity

ex elymus repens

22
New cards

tubers and bulbs

type of clonal growth

very large storage capacity

tulips, lilies

23
New cards

bud bearing roots

type of clonal growth

full root system where the buds grow from the roots

24
New cards

CLO-PLA

worldwide database of clonal growth in plants

built on publications and quantify clonal traits

25
New cards

clonal vs non clonal plant reproductive output

used data for different plant species across central europe, compared reproductive output

clonal plants devote less to sexual reproduction and therefore have lower output - no reliance, splitting resources

monocarpic species have the highest rate as they undergo only on reproduction event

but this paper did not test the significance between groups just btw

<p>used data for different plant species across central europe, compared reproductive output</p><p>clonal plants devote less to sexual reproduction and therefore have lower output - no reliance, splitting resources</p><p>monocarpic species have the highest rate as they undergo only on reproduction event</p><p>but this paper did not test the significance between groups just btw</p>
26
New cards

reproductive output

product of seed output and seed mass

exclusion of clonal growth organs

27
New cards

bud bank

collection of dormant vegetative buds above or below ground - as shown in raukiners life forms

allow for regrowth capacity post fire or disturbance, and stabilize population size fluctuations

  • death can always be accounted for w regrowth 

traits include size and depth (not well studied)

28
New cards

costs and benefits of bud bank size

smaller size: low carbohydrate sink, low survival rate

larger: high carb sink, high survival rate

29
New cards

bud bank comparisons

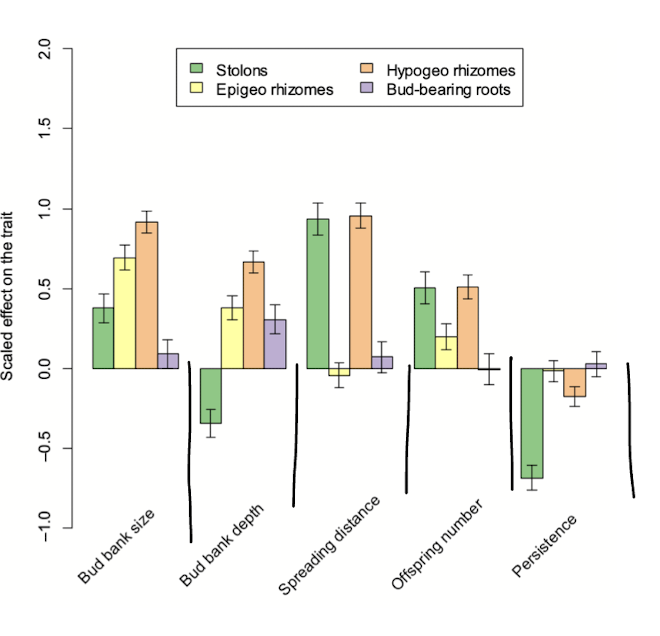
comparisons of the four types of bud banks relative to control plants (no clonal growth)

compares various factors such as bud bank size, bud bank depth, spreading distances, offspring number and persistence

ex plants with stolons or rhizomes have larger spreading distance but lower depth 

<p>comparisons of the four types of bud banks relative to control plants (no clonal growth)</p><p>compares various factors such as bud bank size, bud bank depth, spreading distances, offspring number and persistence</p><p>ex plants with stolons or rhizomes have larger spreading distance but lower depth&nbsp;</p>
30
New cards

disturbance association with bud bank density

positive association is predicted, but meta analysis showed otherwise

no significant results, except a negative…

consider resource allocation, what is more costly under periods of stress - survival not reproduction, or perhaps regeneration rather than supporting buds

missing water availability and bud bank density controlled…

<p>positive association is predicted, but meta analysis showed otherwise</p><p>no significant results, except a negative…</p><p>consider resource allocation, what is more costly under periods of stress - survival not reproduction, or perhaps regeneration rather than supporting buds</p><p>missing water availability and bud bank density controlled…</p>
31
New cards

diaspore

dispersal unit consisting of seed, plus tissue to aid dispersal

ex pappus in dandelion and fruit flesh in strawberry

32
New cards

cypselae

exterior shell containing a seed

as seen in sunflower seed, dandelion

33
New cards

barochory

dispersal via gravity

for example acorns and heavy seeds are intended to fall on the ground, since they are heavy they are not expected to travel via wind

34
New cards

ballochory

ejection of seeds post desiccation

for ex caragana will violently eject seeds

35
New cards

hydrochory

disperse in water

ex coconuts

36
New cards

anemochory

dispersal via wind, various divergent tissues to aid

for ex dandelion seeds with the pappus

or maple seeds with helicopter like samara

37
New cards

endozoochory

seeds dispersed through animal ingestion often have fleshy attachments

or in grasslands the leaf is the “fruit”

38
New cards

epizoochory

seeds disperse by adherence to animals

ex fur, clothes

ex burdock

39
New cards

seed dispersal information

reduces spread of undesired plants - noxious weeds, introduced species

raise awareness about invasive species

ex boot brush station

40
New cards

seed dispersal vectors

air, wind, insects, animals, water, cars, boats, trailers, socks, mud, shoes

can be passively transported or actively

41
New cards

seed retention in human clothes

studied how types of fabric impact seed retention in different species

reflections of adaptations to attach to furs, etc

then compared fate after washing (under different conditions) and germination stayed  possible

interesting case study 

42
New cards

importance of seed dispersal

potential to obtain new resources

escape from competition, predation and disease

connections of populations via gene flow

43
New cards

problems of studying seed dispersal

seeds are very small, detachment and dispersal are fast processes (hard to track), can be long distance (logistical issues)

44
New cards

methods of seed tracking approaches

emphasis can either be on dispersal or arrival in different places

45
New cards

seed inventory sample selection

seed trap - wind or gravity, animal dung - animal vectors, soil core, fur shearing, sticky traps (problems with insects), vacuuming, washing, picking up

46
New cards

methods of seed species identification

seedling emergence - on top of sterilized soil, but potential of other seeds, or missing strict growth requirements

extraction and visual ID - microscope, but can be too small, hard to ID or visual similarities

genetic methods - DNA, in early stages of practice

different methods come up with different species richness…

47
New cards

experiment methods of seed dispersal

feeding seeds to animals - analyze content, viability

attachment to fur or clothes, case study example

release and tracking, wind tunnel, etc

48
New cards

seed bank

a collection of seeds in natural or artificial settings - soil, aquatic, aerial (ex birds nest) or canopy (ex in pine trees)

49
New cards

importance of soil seed bank

increases resilience of plant communities to disturbance, shapes population dynamics - esp in annuals, important consideration in ecological restoration

influences weed emergence in crop settings

and helps identify historic vegetation composition, potential for re-establishment

50
New cards

seed banks and restoration

passive ex - soil in crop land holds the seeds of previous plant community, viability may decrease over time but holds onto the memory

active would be introducing new seeds into the soil, ex viability has decreased so much

51
New cards

seed bank global storage

preservation of seeds of important plants to safeguard diversity and future food supply

focusses on diversity of crop and culturally important plants

ex Svalbard Global Seed Vault

52
New cards

why might tundra have lower seed density in seed bank?

most of the year it is too cold for soil penetration, fewer resources to seed development, less biotic dispersal vectors, shorter growing seasons

potentially more vegetative reproduction or perennials rather than annuals producing many seeds

larger seed types, and also shallower soils so less in comparison no matter what

53
New cards

why might tropical forests have lower seed density in seed bank?

no constraints in weather/water and no seasonality means there is few niches for competition

mold and pathogens, seeds are shorter lived, decomp is higher 

less stored..

54
New cards

transient seed bank

survival time is up to one year, lack of long term seed dormancy

rapid germination under favourable conditions

short term storage of seeds

continuous turnover of seed composition

55
New cards

persistent seed bank - long term

seed dormancy

prevention of germination during unfavourable conditions - seasonal climates, specific conditions required ex fire in serotinuous cones

long term storage of seeds

bed hedging strategy - increased fitness in stressful conditions

slow turnover of seed composition

56
New cards

population dynamics and fate in seed banks

inputs from various factors, active and dormant seed banks, ripening ebtween, losses due to decay or predation, germination or dispersal out

fatal germination or emergence and cycle continues

<p>inputs from various factors, active and dormant seed banks, ripening ebtween, losses due to decay or predation, germination or dispersal out</p><p>fatal germination or emergence and cycle continues</p>