1/52
Things to know about the ACT!!
Name | Mastery | Learn | Test | Matching | Spaced | Call with Kai |
|---|
No analytics yet
Send a link to your students to track their progress
ACT hates…
being and whom
when in doubt…
leave it out
when reading a LONG question
underline what the question is specifically asking
make sure sentences are…
clear, concise, consistent
if three choices are nearly the same…
strongly consider the odd man out
two independent clauses are joined by…
a comma and FANBOY
FARTHER
distance
FURTHER
to a greater extent
COMPLEMENT
to complete
COMPLIMENT
flatter
EMIGRATE
to EXIT
IMMIGRATE
to come IN
MOREOVER
in addition to
NEVERTHELESS
in contrast to
If the dependent clause comes first…
a comma IS needed
If the dependent clause comes second…
NO comma is needed
If both a period and semi-colon are options…
eliminate both
never put commas around…
names because they are ESSENTIAL
dashes indicate…
a sudden break in thought
everything on the left side of a colon must be…
a COMPLETE sentence
colons are used to show a..
list or explanation
ALLUSION
refers to something else
ILLUSION
a false understanding
PAST
noun
PASSED
verb
LIE
to recline
LAY
to place
between lay or lie, always pick…
lie
when answering a transition question, always…
read the sentence before and after
between who or whom, always pick…
WHO
before answering an inference question…
come up with your own answer before checking the question answers
when stuck on two questions, seek to…
ELIMINATE, not defend an option
irrational numbers
roots, pi, e
i 2
-1
√-1
i
x0
1
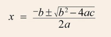
quadratic formula
x

distance formula
d = √(x2 - x1)2 + (y2 - y1)2
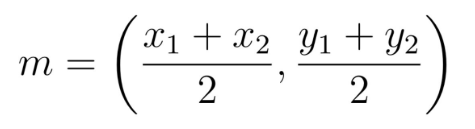
midpoint formula
M=

when asked about a fair coin, the correct answer should include…
A LOT OF MULTIPLICATION
irrational numbers include…
square roots, cubed roots, pi
area of a circle
πR2
TANGENT
SIN / COS
circumference
πd
area of a trapezoid
[ (b1+b2) / 2 ] x h
common Pythagorean triples
3 4 5
5 12 13
volume of a cylinder
πr2h
for probability questions, “BOTH” and “AND” mean…
multiply the fractions (probability)
for probability questions, “OR” means…
add the fractions (probability)
standard equation of a circle
(x - h)2 + (y - ,k)2 = r2
when referring to triangles, congruent means…
same measures EXACLTY
when referring to triangles, similar means…
same ratio (measures)
3(log28)
23 = 8