1/9
10.4.3 fördjupning ej med
Name | Mastery | Learn | Test | Matching | Spaced | Call with Kai |
|---|
No analytics yet
Send a link to your students to track their progress
Vad är leasning
Kontrakt mellan två parter
Leas-tagare och leas-givare
Avtal
a) finansiering
b) verktyg för riskavertering - kan flytta risk till leasgivare. Tar betalt. De kan hantera risken bättre…
c) skatteeffekter
Leasing avtalet
Specifikationer
objekt (kvalite och restvärde)
leasingperioden
betalningsvillkor
- leasingavgift. (fast, rörliga delar, indexjustering)
- förhöjd första leasningavgift
- perioditet
- förskotts eller efterskottsbetalning
- kontrakterat restvärde
- ev övr avgifter
Andra delar leasing kontrakt
Underhållsvillkor
Försäkringsvillkor och riskfördelning
Begränsningar i användning (lätt att kontrollera/validera?)
Reglera ägarförhållanden vid leasingperiodens slut
Uppsägning/ förtida avslut & sanktioner
Optioner: köpoption, förlängning, byte
redovisningmässiga och skattemässiga klausuler
Leasingformer
Finansiell leasing
leasingtagare bär hela kostnadsrisken
leasinggivare är ofta finansbolag
Operationel leasing
leasinggivaren bör hela kostnadsrisken samt står för service och underhåll
leasinggivare kan vara finansbolag men behöver ej vara
Finansiell leasing
leasingtagare bär hela kostnadsrisken
leasinggivare är ofta finansbolag
leasingavgift betalas ofta i förskott
vanligt ny investering
“sales-lease-back”
kan likställas med lånefinansiering
skatteeffekter påverkar. Vid ingen skattepåverkan är det endast ränta som är jämförande
projektränta eller låneränta, rp, rs
bokförs som tillgång hos leasingstagare
Operationell leasing
leasinggivaren bör hela kostnadsrisken
samt står för service och underhåll
medför högre leasingavgift
leasinggivare kan vara finansbolag men behöver ej vara
rwacc
bokförs på skuldsida hos leasingsgivare och avdrag görs. Ej hos leasingtagare
Varför leasing?
Minska administrativa, koordinerings och hanteringskostnader
leasing bolaget har färdigheter, kompetens och kan specielisera sig. Därför bättre att äga
öka flexibiltet för leasingtagare
minska informationskostnader
diversifiering
tveksamma motiv
räntabilitet ser bättre ut (mer för operationell leasing)
slipper begära investeringsmedel
missuppfattning att det inte inkräktar på eget kapital
NAL kalkyl utan skatt
Net Advantage of Leasing
(Leasing - köp)
G = 10 Msek
Kontrakt:
5 år
140 kkr /mån, betala i förskott
förhöjd första avgift 1 Msek
kontrakterat RV 30%
KF
KF0 = 10-1 = 9 Msek
KF1 = -140 kkr
…
KF59 = -140 kkr
KF60 = - 3 msek
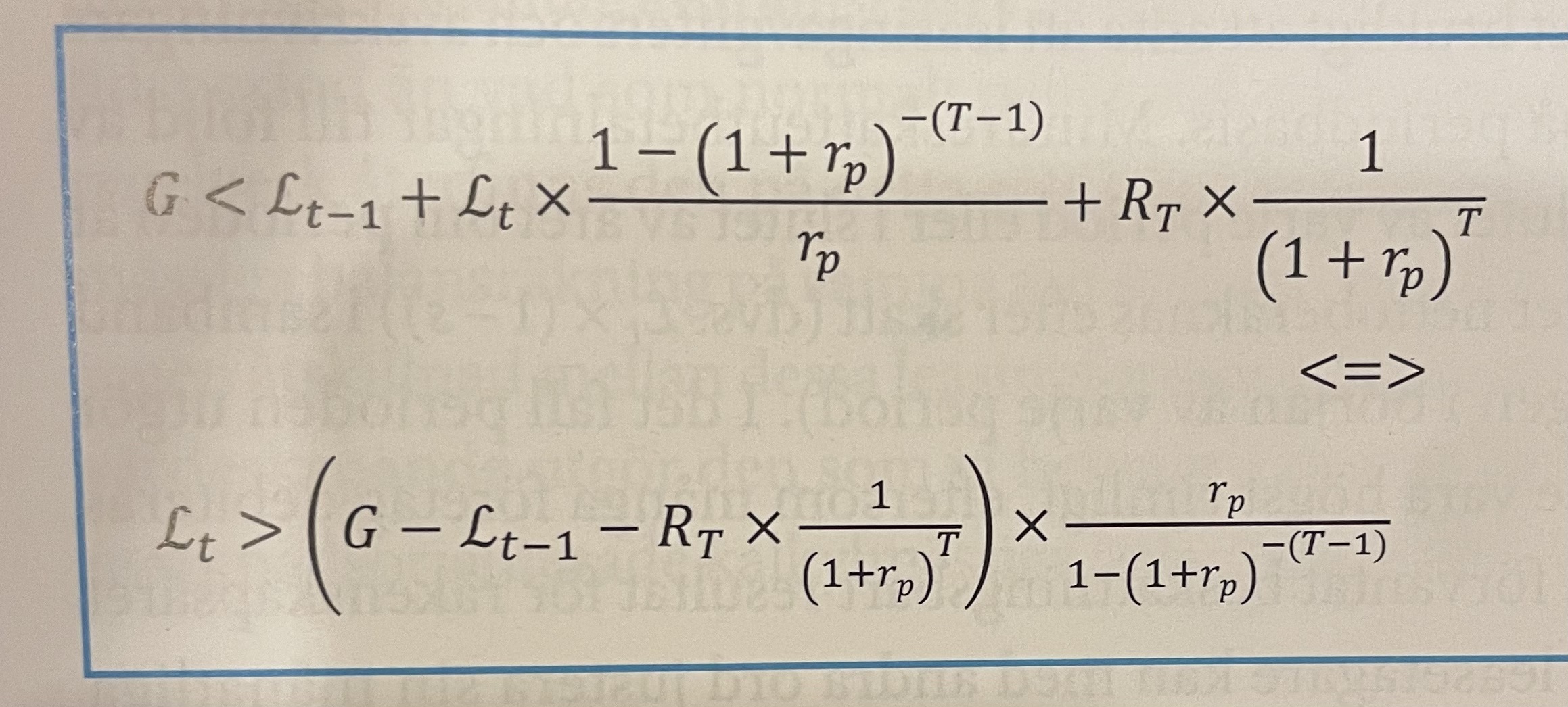
Beräkna IRR
0 = -L + Sum T-1, t=1 Leasing t/(1+rs)^t - Rt/(1+rs)^t
0 = L - Leasing * (1-(1+rs)^-(T-1))/rs - Rt/1+rs^T
0 = 9 Msek - 140 kkr * (1-(1+rs)^-59))/rs - 3 Msek/1+rs^60
rs ca 0,61%



NAL kalkyl med skatt


Operationell leasing
