1/4
Looks like no tags are added yet.
Name | Mastery | Learn | Test | Matching | Spaced | Call with Kai |
|---|
No analytics yet
Send a link to your students to track their progress
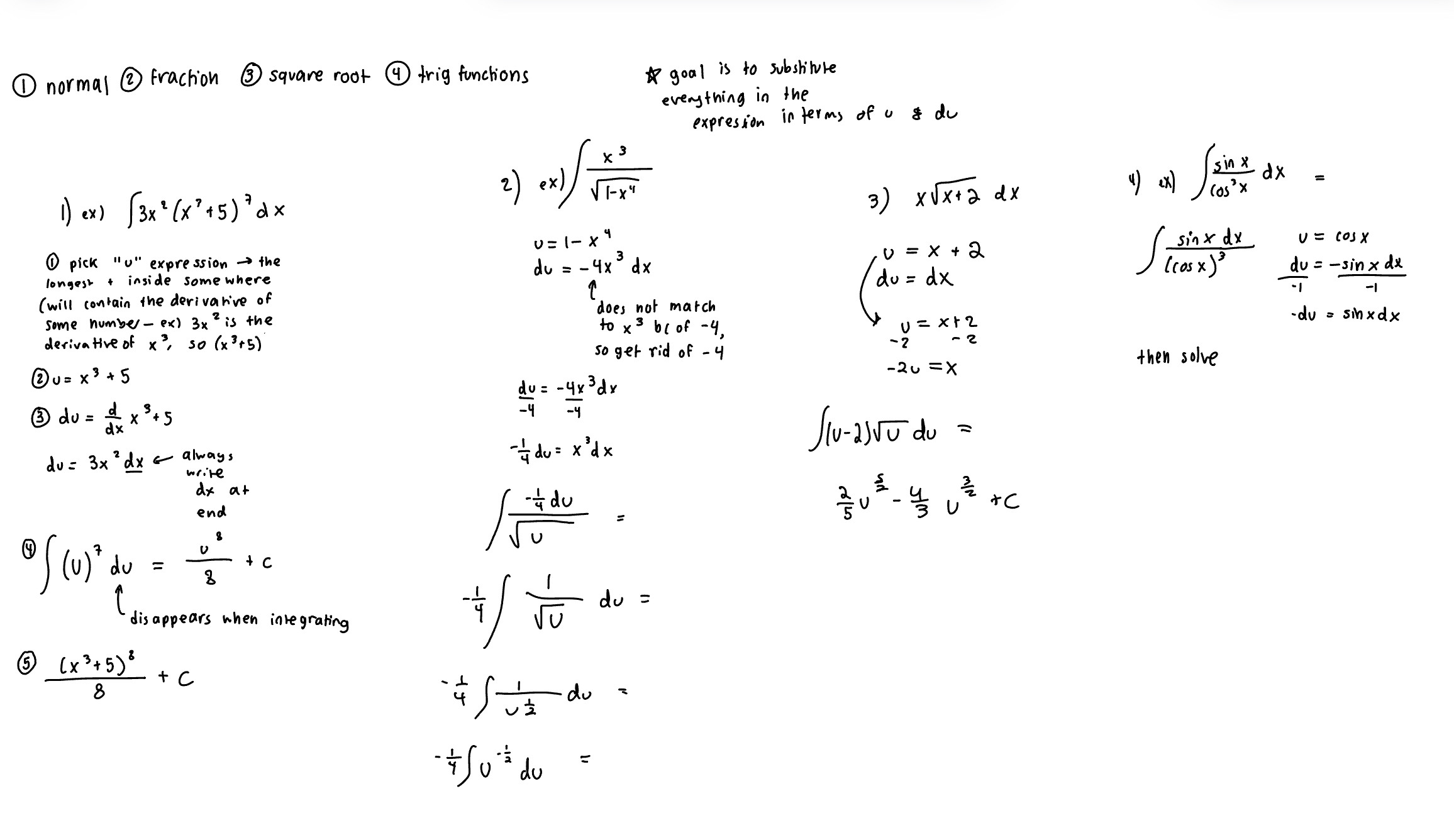
How do you u-substitute?
Find u (u is WHATEVER is in e, parentheses, power, etc, anything inside anything)
Find du (du is is derivative of whatever you found for u
Substitute once EVERYTHING in the equation has been substituted for u or du
Solve the integral with the u and du (IMPORANT: du VANISHES when solving for integrals, do not worry about it) + ALWAYS ADD A +C, NEVER FORGET THE +C FOR INDEFINITE INTEGRALS!!!!
replace everything back from u to the original variable/numbers
NOTE: you might have to rearrange the u and du equations before substituting so that every number is substituted (see image for details)

…that’s it
ok
there’s literally nothing else
ok
When do you use u-substitution?
when one function is inside another function
there’s like a big power
there is more than 1 of the variable in the integral
How do you find the integral using u-sub if the integral is something where it’s hard to find the u, like sec²xtan³x?
find a hidden derivative
ex) d/dx sec²x = tanx
therefore u=tanx