1/57
Looks like no tags are added yet.
Name | Mastery | Learn | Test | Matching | Spaced | Call with Kai |
|---|
No analytics yet
Send a link to your students to track their progress
1) The element present in all organic molecules is ________.
A) hydrogen
B) oxygen
C) carbon
D) nitrogen
C) carbon
2) The complexity and variety of organic molecules is due to ________.
A) the chemical versatility of carbon atoms
B) the variety of rare elements in organic molecules
C) the diverse bonding patterns of nitrogen
D) their interaction with water
A) the chemical versatility of carbon atoms
3) The experimental approach taken in current biological investigations presumes that ________.
A) simple organic compounds can be synthesized in the laboratory from inorganic precursors,
but complex organic compounds like carbohydrates and proteins can be synthesized only by
living organisms
B) a life force ultimately controls the activities of living organisms, and this life force cannot be
studied by physical or chemical methods
C) living organisms are composed of the same elements present in nonliving things, plus a few
special trace elements found only in living organisms or their products
D) living organisms can be understood in terms of the same physical and chemical laws that can
be used to explain all natural phenomena
D) living organisms can be understood in terms of the same physical and chemical laws that can
be used to explain all natural phenomena
4) Differences among organisms are caused by differences in the ________.
A) elemental composition from organism to organism
B) types and relative amounts of organic molecules synthesized by each organism
C) sizes of the organic molecules in each organism
D) types of inorganic compounds present in each organism
B) types and relative amounts of organic molecules synthesized by each organism
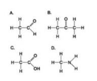
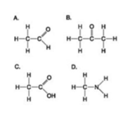
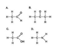
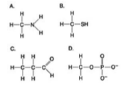
5) Stanley Miller's 1953 experiments supported the hypothesis that ________.
A) life on Earth arose from simple inorganic molecules
B) organic molecules can be synthesized abiotically under conditions that may have existed on
early Earth
C) life on Earth arose from simple organic molecules, with energy from lightning and volcanoes
D) the conditions on early Earth were conducive to the origin of life
B) organic molecules can be synthesized abiotically under conditions that may have existed on
early Earth
6) Miller's classic experiment demonstrated that a discharge of sparks through a mixture of gases
could result in the formation of a large variety of organic compounds. Miller did not use
________ as one of the gases in his experiment.
A) methane
B) oxygen
C) water
D) ammonia
B) oxygen
7) Which of the following is true of carbon?
A) It forms only polar molecules.
B) It can form a maximum of three covalent bonds with other elements.
C) It is highly electronegative.
D) It can form both polar and nonpolar bonds.
D) It can form both polar and nonpolar bonds.
8) The kind and number of bonds an atom can form depends on ________.
A) its atomic number
B) its electron configuration
C) its atomic mass
D) the number of particles in its nucleus
B) its electron configuration
9) Why is carbon so important in biology?
A) It is a common element on Earth.
B) It has very little electronegativity, making it a good electron donor.
C) It bonds to only a few other elements.
D) It can form a variety of carbon skeletons and host functional groups.
D) It can form a variety of carbon skeletons and host functional groups.
10) How many electrons does one atom of carbon share to complete its valence shell?
A) 2
B) 3
C) 4
D) 8
C) 4
11) A carbon atom has 6 electrons however, its valency is 4. This is because the carbon atom
________.
A) donates its 2 electrons to another atom
B) shares its 2 electrons and bonds with another atom
C) has 4 electrons in its first shell and 2 in the second shell
D) has only 2 electrons in its first shell and 4 in the second shell
D) has only 2 electrons in its first shell and 4 in the second shell
12) In an ethane (C2H6) molecule, each carbon atom is bonded to ________ hydrogen atoms.
A) two
B) three
C) four
D) six
B) three
13) A carbon atom is most likely to form what kind of bond(s) with other atoms?
A) ionic
B) hydrogen
C) covalent
D) ionic bonds, covalent bonds, and hydrogen bonds
C) covalent
14) Why are hydrocarbons insoluble in water?
A) The majority of their bonds are polar covalent carbon-to-hydrogen linkages.
B) The majority of their bonds are nonpolar covalent carbon-to-hydrogen linkages.
C) They exhibit considerable molecular complexity and diversity.
D) They are less dense than water.
B) The majority of their bonds are nonpolar covalent carbon-to-hydrogen linkages.
15) Which of the following statements correctly describes cis-trans isomers?
A) They have variations in arrangement around a double bond.
B) They have an asymmetric carbon that makes them mirror images.
C) They have the same chemical properties.
D) They have different molecular formulas.
A) They have variations in arrangement around a double bond.
16) Each bond in carbon dioxide represents ________.
O = C = O
A) one resonating electron
B) a pair of shared electrons
C) two pairs of shared electrons
D) a pair of protons
B) a pair of shared electrons
17) Research indicates that ibuprofen, a drug used to relieve inflammation and pain, is a mixture
of two enantiomers; that is, molecules that ________.
A) have identical chemical formulas but differ in the branching of their carbon skeletons
B) are mirror images of each other
C) differ in the location of their double bonds
D) differ in the arrangement of atoms around their double bonds
B) are mirror images of each other
18) What determines whether a carbon atom's covalent bonds to other atoms are in a tetrahedral
configuration or a planar configuration?
A) the presence or absence of bonds with oxygen atoms
B) the presence or absence of double bonds between the carbon atom and other atoms
C) the polarity of the covalent bonds between carbon and other atoms
D) the solvent in which the organic molecule is dissolved
B) the presence or absence of double bonds between the carbon atom and other atoms
19) Which of the following carbon molecules does not have the bond angle of 109.5°?
A) CH4
B) C2H4
C) C2H6
D) C3H8
B) C2H4
20) Compared to a hydrocarbon chain where all the carbon atoms are linked by single bonds, a
hydrocarbon chain with the same number of carbon atoms but with one or more double bonds
will ________.
A) be more flexible in structure
B) be more constrained in structure
C) be more polar
D) have more hydrogen atoms
B) be more constrained in structure
21) Organic molecules with only hydrogens and five carbon atoms cannot ________.
A) have a branching carbon skeleton
B) have different combinations of double bonds between carbon atoms
C) have different positions of double bonds between carbon atoms
D) form enantiomers
D) form enantiomers
22) Some carbon skeletons have different numbers and locations of double bonds to ________.
A) add molecular complexity and diversity that characterize living matter
B) be more flexible that makes the molecule stronger
C) stay in its liquid state
D) increase its solubility in water
A) add molecular complexity and diversity that characterize living matter

23) Use the following figure to answer the question.
The two molecules shown in the figures are best described as ________.
A) enantiomers
B) structural isomers
C) cis-trans isomers
D) chain length isomers
B) structural isomers

Use the following figure to answer the question.
The figure shows the structures of glucose and fructose. These two molecules differ in the
________.
A) number of carbon, hydrogen, and oxygen atoms
B) types of carbon, hydrogen, and oxygen atoms
C) arrangement of carbon, hydrogen, and oxygen atoms
D) number of oxygen atoms joined to carbon atoms by double covalent bonds
C) arrangement of carbon, hydrogen, and oxygen atoms

25) Use the following figure to answer the question.
The figure shows the structures of glucose and fructose. These two molecules are ________.
A) isotopes
B) enantiomers
C) cis-trans isomers
D) structural isomers
D) structural isomers

26) Use the following figure to answer the question.
The two molecules shown in the figure are best described as ________.
A) enantiomers
B) radioactive isotopes
C) structural isomers
D) cis-trans isomers
D) cis-trans isomers

27) Which of the following illustrations is not a structural isomer of an organic compound with
the molecular formula C6H14? For clarity, only the carbon skeletons are shown; hydrogen atoms
that would be attached to the carbons have been omitted.
C

28) Which of the pairs of molecular structures shown depict enantiomers (enantiomeric forms) of
the same molecule?
C

29) Use the figure to answer the question.
Thalidomide and L-dopa (see figure) are examples of pharmaceutical drugs that occur as
enantiomers, or molecules that ________.
A) have identical three-dimensional shapes
B) are mirror images of one another
C) are mirror images of one another and have the same biological activity
D) are cis-trans isomers
B) are mirror images of one another
30) Which of the following molecules is polar?
C3H7OH C2H5COOH
A) C3H7OH and C2H5COOH are both polar molecules.
B) Neither C2H5COOH or C3H7OH is polar.
C) C2H5COOH is polar, but C3H7OH is not polar.
D) C2H5COOH is not polar, but C3H7OH is polar.
A) C3H7OH and C2H5COOH are both polar molecules.
31) Which of the functional groups is not reactive but serves as a recognizable tag on the DNA
molecule and alter the expression of genes in the cells.
A) amino
B) methyl
C) carboxyl
D) hydroxyl
B) methyl
32) A compound contains hydroxyl groups as its predominant functional group. Therefore, this
compound ________.
A) lacks an asymmetric carbon and is probably a fat or lipid
B) should dissolve in water
C) should dissolve in a nonpolar solvent
D) will not form hydrogen bonds with water
B) should dissolve in water
33) Which two functional groups are always found in amino acids?
A) carbonyl and amino groups
B) carboxyl and amino groups
C) amino and sulfhydryl groups
D) hydroxyl and carboxyl groups
B) carboxyl and amino groups
34) Amino acids are acids because they always possess ________ as the functional group?
A) amino
B) carbonyl
C) carboxyl
D) phosphate
C) carboxyl
35) Testosterone and estradiol are male and female sex hormones, respectively, in many
vertebrates. In what way(s) do these molecules differ from each other? Testosterone and estradiol
________.
A) are structural isomers but have the same molecular formula
B) are cis-trans isomers but have the same molecular formula
C) have different functional groups attached to the same carbon skeleton
D) are enantiomers of the same organic molecule
C) have different functional groups attached to the same carbon skeleton

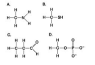
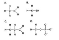
36) Use the figure to answer the question.
What is the name of the functional group shown in the figure?
A) carbonyl
B) ketone
C) aldehyde
D) carboxyl
D) carboxyl

37) Use the figures to answer the question.
Which functional group shown can pick up protons and raise the pH of the surrounding solution?
A) A
B) B
C) C
D) D
C) C

38) Use the figures to answer the question.
Which of the functional groups shown helps stabilize proteins by forming covalent cross-links
within or between protein molecules?
A) A
B) B
C) C
D) D
D) D

39) Use the figures to answer the question.
Which of the functional groups shown is present in ethanol but not in ethane?
A) A
B) B
C) C
D) D
A) A

40) Use the figures to answer the question.
Which of the groups is an acidic functional group that can dissociate and release H+ into a
solution?
A) A
B) B
C) C
D) D
B) B

41) Use the figures to answer the question.
Which molecule(s) shown is (are) ionized in a cell?
A) A
B) B and D
C) C and D
D) D
C) C and D

42) Use the figures to answer the question.
Which molecules shown contain a carbonyl group?
A) A and B
B) B and C
C) B, C, and D
D) C and D
A) A and B

43) Use the figures to answer the question.
Which molecule has at least one carbon atom attached to three different chemical groups?
A) A
B) B
C) D
D) A and B
A) A

44) Use the figures to answer the question.
Which molecule shown has a carbonyl functional group in the form of an aldehyde?
A) A
B) B
C) C
D) D
A) A

45) Use the figures to answer the question.
Which molecule shown contains a carboxyl group?
A) A
B) B
C) C
D) D
C) C

46) Use the figures to answer the question.
Which molecule shown can increase the concentration of hydrogen ions in a solution and is
therefore an organic acid?
A) A
B) B
C) C
D) D
C) C

47) Use the figures to answer the question.
Which molecule can be a result of mercaptoethanol reduction of a disulfide bridge?
A) A
B) B
C) C
D) D
B) B

48) Use the figures to answer the question.
Which molecule shown is a thiol?
A) A
B) B
C) C
D) D
B) B

49) Use the figures to answer the question.
Which molecule shown above contains a functional group that is a part of the molecule known as
the "energy currency of living organisms"?
A) A
B) B
C) C
D) D
D) D

50) Use the figures to answer the question.
Which molecule shown above can contribute negative charge when positioned in a chain?
A) A
B) B
C) C
D) D
D) D
51) Which of the following statements is true?
A) ADP contains more energy than ATP.
B) Following hydrolysis, ATP can give off one phosphate, whereas ADP cannot.
C) ADP can have two positive charges.
D) ATP can have four negative charges.
D) ATP can have four negative charges.
52) Which of the following molecules is a part of ATP?
A) adenosine
B) cytosine
C) guanine
D) uracil
A) adenosine
1) Organic chemistry is currently defined as
A) the study of compounds made only by living cells.
B) the study of carbon compounds.
C) the study of natural (as opposed to synthetic) compounds.
D) the study of hydrocarbons.
B) the study of carbon compounds.

Which functional group is not present in this molecule?
A) carboxyl
B) sulfhydryl
C) hydroxyl
D) amino
B) sulfhydryl
3) Which chemical group is most likely to be responsible for an organic molecule behaving as a
base?
A) hydroxyl
B) carbonyl
C) amino
D) phosphate
C) amino
4) Visualize the structural formula of each of the following hydrocarbons. Which hydrocarbon
has a double bond in its carbon skeleton?
A) C3H8
B) C2H6
C) C2H4
D) C2H2
C) C2H4

5) Choose the term that correctly describes the relationship between these two sugar molecules:
A) structural isomers
B) cis-trans isomers
C) enantiomers
D) isotopes
A) structural isomers
6) Which action could produce a carbonyl group?
A) the replacement of the -OH of a carboxyl group with hydrogen
B) the addition of a thiol to a hydroxyl
C) the addition of a hydroxyl to a phosphate
D) the replacement of the nitrogen of an amine with oxygen
A) the replacement of the -OH of a carboxyl group with hydrogen