1/74
Lecs Ion & Water Bal 1-5
Name | Mastery | Learn | Test | Matching | Spaced | Call with Kai |
|---|
No analytics yet
Send a link to your students to track their progress
3 meanings of environment in a physiology context (3)
External world for the whole animal
extracellular fluid (eg. plasma and interstitial fluid) for a cell
cytoplasm/intracellular fluid for intracellular enzymes

Agree or Disagree: animals use ONE type of tissue to control ion and water balance in internal environments only. (2 - explain why or why not)
Disagree.
Animals use different combinations of tissues (1) in various internal and external environments (1) to control ion and water balance.
3 homeostatic processes (3)
osmotic regulation
ionic regulation
nitrogenous waste excretion
osmotic regulation refers to:
osmotic pressure of body fluids
ionic regulation refers to ____. give 1 example.
concentration of specific ions
example: sodium & potassium ion gradients
nitrogenous waste excretion refers to:
excretion of end products of protein metabolism
what is homeostasis? why is it important?
state of internal constancy state maintained as a
result of active regulatory processes
control over the internal environment allows life to survive in different external environments
Solutes move through water by what process?
diffusion

What does the rate of diffusion depend on? (3) Hint: think of the Fick’s equation in the context of ions.
Diffusion coefficient (Ds) - includes size of molecule plus its hydration shell
Diffusion area (A)
Size of concentration gradient (dC/dX) - X is distance
For ion and water balance, the direction of diffusion depends on:
the concentration gradient

Concerning osmotic pressure, describe what’s happening in panels a)-d). (3)
a) water randomly moves back and forth the two sides of the semipermeable membrane
b) and c) salt added, water now wants to move to the side with salt (from high water activity/low solute to low water activity/high solute)
d) height difference set when eqilibrium or homeostasis is met
Define osmosis
The movement of water across a membrane from an area with a high activity of water (aka low solute) to an area with low activity of water (aka high solute).
higher osmolarity / osmolality (same for this course, only units differ) = ____ solutes in water
more
consider 2 solutions seperated by a semi-permeable membrane. A is hyperosmotic, and B is hyposmotic. How does water diffuse between A and B?
water diffuses from B to A
if osmolarities are the same, 2 solutions are
isosmotic
tonicity
the effect of a solution outside the cell on cell volume
cells ___ in hypertonic solution, water ___ cell by osmosis.
cells ___ in hypotonic solution, water ___ cell by osmosis.
shrink, leave, swell, enter
Agree or Disagree: if a cell is isotonic with its environment, water doesn’t need to move across membranes and the cell doesn’t shrink or swell. (2 - explain why or why not)
disagree (no marks, marks for correct explanation only)
water still constantly moving across membranes, just no NET osmosis (1)
cell doesn’t shrink or swell is correct (1)
agree or disagree: hyperosmotic is always hypertonic. explain why or why not.
disagree because osmotic is about num of solutes compared to a solution, while tonicity is about cell volume, which includes num of solutes and the permeability of cell membranes.
eg. something can be hyperosmotic but isotonic if the solutes aren’t permeable and cell doesn’t swell up!

Describe the tonicity of solutions relative to the 3 RBCs. For the last 2, give a physiological consequence of each. (5 marks total)
iso, hypo, hyper solns
hypo = cannot fit RBC in a capillary (one cell thick)
hyper = crystallization occurs within RBCs from collapse
Why is it important to regulate cell osmolarity? (2)
increased intracellular activity can directly interfere with cellular processes (e.g. protein-protein interactions, cellular fluidity for diffusion)
changes in osmolarity means water will move across membranes, changing cell volume
In the context of osmolarity regulation, what is the consequence of moderate cell swelling? excessive cell swelling? excessive cell shrinkage? (3)
moderate swelling = disruption of membrane
excessive swelling = cell lysis
shrinkage = macromolecules are crowded
how does a cell control cell volume? what process does it rely on?
by transporting solutes in and out of extracellular fluid (ECF)
relies on osmosis: water follows solutes
why do animals modify the composition of ECF?
modification provides cells with the appropriate external soln which allows them to maintain proper cell volume

consider these 4 major ions: Na+, K+, Cl-, Ca2+. what is Na+ regulated by? (2)
Na+/K+ ATPase
Na + /H + exchanger
consider these 4 major ions: Na+, K+, Cl-, Ca2+. what is K+ regulated by? (1)
Na+/K+ ATPase
consider these 4 major ions: Na+, K+, Cl-, Ca2+. what is Cl-regulated by? (1)
it’s distributed passively (think Goldman equation of resting membrane potential) usually via co-transporters
consider these 4 major ions: Na+, K+, Cl-, Ca2+. what is Ca2+ regulated by? (2)
Na+/Ca+ antiporter
Ca2+ ATPase
Describe how cells perform regulatory volume increase (RVI) to swell up. What is the main channel/transporter used? What alternative channels/transporters may be opened? (4)
cells actively import ions
water follows ions passively
main: NKCC (Na K Cl cotransporter)
alternatives: Na+ channels, Cl- channels, Na+ H+ exchangers (note that exchanger is a subtype of transporter)
note: different types of ion transporters exist that are species and tissue specific in driving water transport

Describe how cells perform regulatory volume decrease (RVD) to shrink. What is the main channel/transporter used? Give an example. (4)
cells actively export ions
water then follows passively (in response to changes in ions and osmolality)
main: opening K+ channels
eg: K+ leaves cell down its electrochemical gradient, water follows passively, K+ leaving quickly causes hyperpolarized effect, so Cl- channels also open and Cl- also leaves to counter it.
what specialized structure does water move through?
aquaporins
(note that porins are for larger molecules compared to ion channels)
Consider ionic and osmotic challenges.
1) marine animals tend to ___ salts and ___ water.
2) freshwater animals tend to ___ salts and ___ water.
3) terrestrial animals tend to ___ water.
4) T or F: many animals move between environments and must be able to alter their homeostatic mechanisms (think of a frog that moves btwn water and land)
1) gain, lose
2) lose, gain
3) lose
4) T
Define ionoconformer. What animals are ionoconformers? (2)
have little control over the ion profile within the extracellular space
only found in marine animals eg invertebrates, hagfish
Define ionoregulator. What animals are ionoregulators? (2)
control the ion profile of the extracellular space
most vertebrates
osmoconformer vs osmoregulator. examples of each.
conformer = internal and external osmolarities are similar. eg. marine invertebrates.
regulator = osmolarity is constant regardless of external environment. eg. most vertebrates
stenohaline and euryhaline refer to the ability to cope with what? define each.
cope with external salinities
steno = narrow range of tolerance
eury = wide range (think eurkaryotes = multicellular)

looking at this graph, compare hagfish to bony fish using the terms listed. explain each term used.
hagfish = ionoconformer + osmoconformer
hagfish ion profiles CONFORM to seawater (their env) and their internal and external osmolarities are similar (internal CONFORMS to external)
bony fish = ionoregulator + osmoregulator
bony fish CONTROL internal ion profiles (NOT conformed to seawater) and their osmolarity is constant regardless of external osmolarity

similarity between 1 and 2? difference?
similarity: both osmoconformers. shown by starting osmolarity (•) differing from ending osmolarity.
difference:
euryhaline osmoconformer, LONGER range before death, lets osmolarity decrease in parallel with water until death.
stenohaline osmoconformer, SHORT survival range, dies after minor osmotic disruption

similarity between 3 and 4? difference?
similarity: both osmoregulators. shown by starting osmolarity being similar to osmolarity at death.
difference:
WIDE range of nearly constant internal state before eventual death (see long orange line)
NARROW range of nearly constant internal osmolarity before death (see short green line)

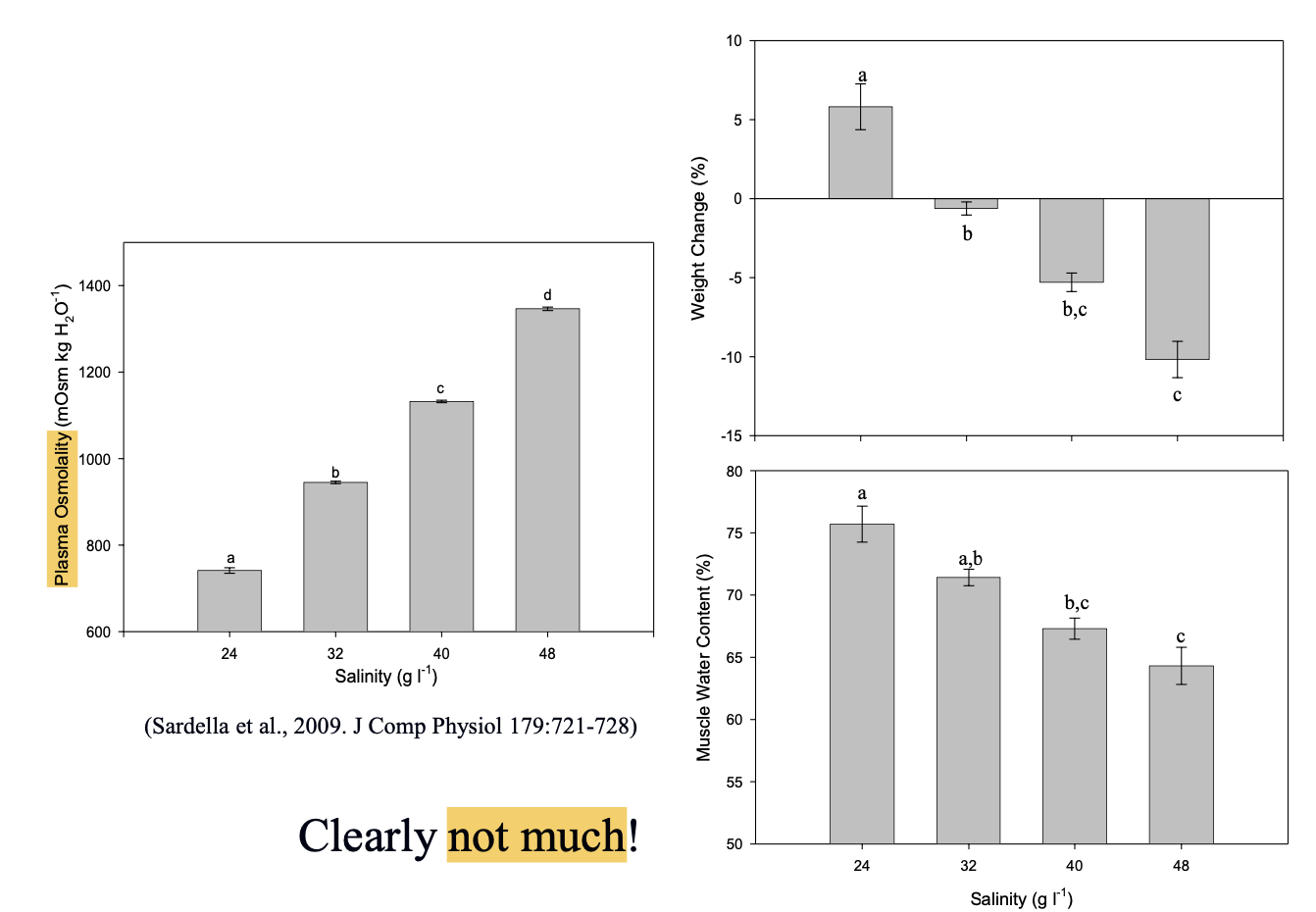
explain the 3 graphs here in terms of hagfish capacity to osmoregulate during 48h exposure to a range of salinities. (Regular SW is 32 g l-1)
osmolality inc as salinity inc
lost body weight as salinity inc
muscle water content inc as salnity inc
So, no signification osmoregulation as it’s all changing with the salinities !!
3 ways to classify solutes, explain each, give examples
perturbing - DISRUPTS macromolecular function. eg. Na+, K+, Cl–, SO4+, charged amino acids
compatible - LITTLE EFFECT on macromolecular function. eg. glycerol, glucose, and uncharged amino acids
counteracting - disrupts function on their own, but effects COUNTERACT when used in conjunction eg. urea + TMAO

how do animals compensate for passive ion and water movements?
by active transport of ions across osmoregulatory epithelia
3 primary osmoregulatory epithelia of vertebrates
kidney
gills
digestive system
What is special about birds and mammals in terms of how they produce urine?
only ones who produce a CONCENTRATED urine (hyperosmotic compared to blood) at the KIDNEYS

Looking at this diagram, what are 4 epithelial properties for ion movement?
Hint: 1 of these are not directly on the diagram.
membrane transporters are assymetrically distributed (see the 3 cells with various # of transporters)
cells are interconnected to form an impenetrable sheet of tissue (see tight junctions in orange)
abundant mitochondria → provides ATP for ion transporter
high cell diversity within tissues
2 main routes of transport used by epithelial cells (2)
transcellular transport - movement through cell
paracellular transport - movement between cells
4 types of transporters for solute movement (4)
Na+K+ATPase (NKA)
ion channels (Cl-, K+, Na+)
electroneutral cotransporters
electroneutral exchangers
osmoregulation in fish: freshwater fish (5)
• Passively gains __1__ and loses __2__ across gill and gut
• Produces __3__ urine in kidney to __4__ water
• Actively ___5___ ions at gill
water
ions
dilute
remove / excrete
absorbs
osmoregulation in fish: seawater fish (5)
• Passively gains __1__ and loses __2__ across gill and gut
• Cannot produce __3__ urine to __4__ water
• Actively ___5___ ions at gill
ions (think salt)
water
concentrated (remember that only birds/mammals can make hyperosmotic urine relative to blood!)
conserve
secretes
what are fish ionocytes? what do they have a lot of? (3)
ion transporters on fish filaments (and sometimes lamellae)
have a lot of mitochondria
have a lot of NKA activity to drive ion movement
T or F: the Na+K+ATPase is the driving force of ion regulation in seawater fish but not freshwater fish.
F, it’s the driving force in both
mechanism of salt secretion in hyperosmotic env: describe the image.
START ANSWERING HERE CARD 52!!!
mechanism of salt secretion in hypoosmotic env: describe the image.
diadromous
fish that move between fresh and seawater throughout life cycle
2 types of diadromous fish. define each.
catadromous: adults in freshwater, breed in sea. eg. eel!
anadromous: adults in seawater, breed in fresh. eg. salmon!
NOTE: ana means up (think like anabolism or building up muscle), and anadromous fish swim UPRIVER (aka towards freshwater to spawn). cata means down.
what is smolting? why is it needed? consider it in the context of salmon.
psychologically preparing for seawater (SW) when still residing in freshwater (FW)
needed bc most animals die when going from FW to SW or back
graph 1 showing metabolic stuff w/ hormones. explain it.
graph 2 w/ the colourfully tagged gills. explain it.
what do salt glands do in reptiles and birds (show the pic as well)
salt glands in marine birds
rectal gland in shark/elasmobranch. explain the diagram.
ion and water bal in terriestrial
in humans, 60% of water gain comes from drinking it. what are some other ways ?
mechanism of water conservation in humans while breathing
desert animals needs way better water conservation than human. name 3 ways they achieve this. (6 answers listed, any 3 of the 6 are valid!)
what parts of the body excrete nitrogenous wastes? hint: this isn’t their only function, name the other thing that they do as well.
how ammonia made in the body and why does it have to be excreted?
3 forms of ammonia excretion, examples of animals that excrete each form (6 - 1 mark for each example given despite answer having many examples)
How is the type of nitrogen excreted related to an animal’s environment?
Advantages of ammonia excretion? Disadvantages?
Advantages of uric acid excretion? Disadvantages?
Advantages of urea excretion? Disadvantages?
smth on slide 23, probably NH4+/ammonium
explain fish ammonia excretion diagram
what do sharks use urea for? why do sharks excrete urea instead of ammonia? think about their ionic and osmo type.
ION WATER QS OVER ANS TMR