1/100
Looks like no tags are added yet.
Name | Mastery | Learn | Test | Matching | Spaced | Call with Kai |
|---|
No analytics yet
Send a link to your students to track their progress
What are population ecologist interested in?
how and why ecological populations grow and shrink in the ways that they do.
population dynamics?
exponential growth occurs when?
occurs when limitations to a population's growth do not exist, and all necessary resources for survival and reproduction are present in continual excess.
The exponential growth believes population?
Grows indefinitely.
Exponential growth model is represented mathematically by?
dN/dt-rN.
What is N in exponential growth?
Population size.
What is r in exponential growth?
Intrinsic growth rate.
stable population size?
Will return to that stable population size over time regardless of smaller or larger population.
logistic growth?
What is K in logistic growth?
carrying capacity.
What is the logistic growth mathematically represented?
dN/dt=rN (1- N/K).
logistic growth graph?

exponential growth graph?

population cycle?
size periodically increases and decreases following a regular or predictable pattern.
paradox of enrichment?
a phenomenon in population ecology that occurs when food availability for a prey species increases dramatically, and results in the destabilization of the predator population or the entire food chain.
How to calculate t?
Difference in means / variability in samples
Which part of the formula for t compares the means of the two data sets?
nominator
Which part of the formula for t describes the amount of variability in the data?
The denominator
If two means are close together, and the variability is high, the value of t will be?
low
inferential statistics?
a set of procedures, involving the calculation of particular statistics and the testing of hypotheses, that allow you to draw conclusions from data.
fundamental niche?
the complete set of environmental conditions in which the species can potentially survive and reproduce. This includes both abiotic factors like temperature and precipitation as well as biotic factors like food availability.
realized niche?
the set of environmental conditions in which the species is actually found in nature.
Which of the following combinations is outside the fundamental niche of the Asian tiger mosquito?
26 °C and 25% humidity
niche?
is the constellation of environmental conditions under which a species can survive.
Who coined the term Niche?
Joseph Grinnell
What did Charles Elton redefine "Niche" to ?
both the environment and the role the species plays in its ecosystem, particularly its trophic relationships (what it eats and what eats it).
What was Georgii Gause's experiment?
two species with the exact same niche (eating the same food, using the same space, with the same environmental requirements, etc.) could not coexist
competitive exclusion principle?
if two species are using exactly the same resources, one of them is expected to win the competition and to drive the other species to extinction in that location.
Self-thinning?
a decline in population density resulting from intraspecific competition (i.e., competition between individuals of the same species)
When an arrow on the phase portrait points straight to the right, what does this indicate about how the population sizes represented by the arrow will change over a short time period?
Only the population size of the 1st species will increase.
When an arrow on the phase portrait points straight up, what does this indicate about how population sizes will change over a short time period?
Only the population size of the 2nd species will increase.
interference competition?
occurs when competing individuals (usually of the same species) directly interact in an attempt to reduce the other's access to resources
allelopathy?
competition between plants involving the production and release of secondary chemicals by one species or individual that inhibits the growth, survival or reproduction of another.
preemption?
occurs when an individual prevents other individuals from occupying a location by occupying the space first.
The purpose of categorization is?
to help structure our understanding about the different ways organisms compete with each other.
intrinsic growth rate, r?
According to the logistic growth equation, when a population reaches its carrying capacity, the population stops growing because?
N=K , N/K=1 , dN/dt=0
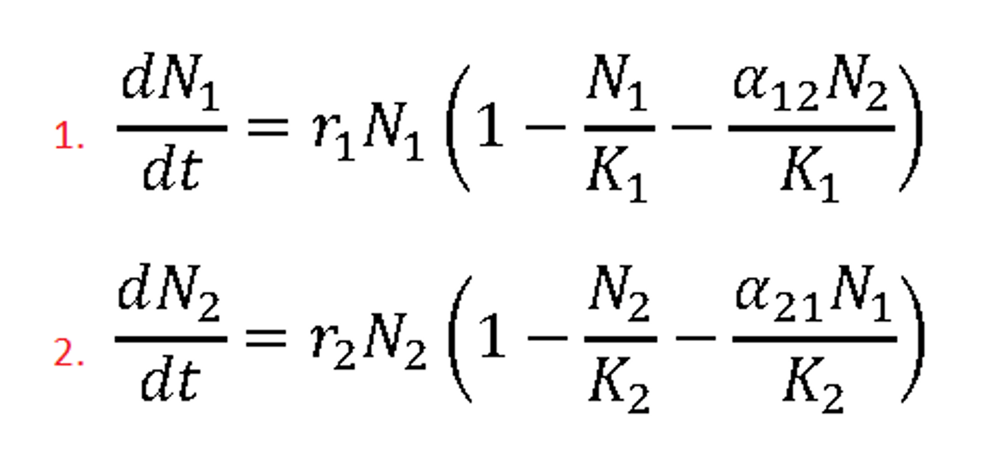
competition coefficient?
represent the per capita effect on the growth of one species (species 1) of another species (species 2) and are symbolized by the Greek letter alpha, α, and two subscripts.
If the "winner" of competition between two species depends on their initial population sizes, which statement below is likely true?
Interspecific competition is stronger than intraspecific competition.
Lotka-Volterra Competition Equations?

Lotka-Volterra Competition Equations?
variations of the logistic growth equation that can be used to estimate the equilibrium population sizes for two competing species
phase plane?
is a plot of two system variables against each other (one on the x-axis, the other on the y-axis). Unlike a time-series plot, time is not shown explicitly.
If values of the two variables don't change over time?
the phase plane plot will only show a single point.
steady state?
When a system is in a steady state, its overall behavior is not changing over time
phase portrait?
is a type of two-dimensional graph that describes how a dynamic system will change over a short period of time, given different initial values for the graphed variables. It depicts (usually using arrows) trajectories of change for each combination of the two variables.
Stable coexistence results when?
intraspecific competition is stronger than interspecific competition.
either can win.
The point where the isoclines intersect is referred to as?
unstable equilibrium.
isocline?
These show the population sizes at which the growth rate of one of the two species is zero.
unstable equilibrium?
small perturbations (changes to the system) will upset the balance and the system will not likely return to the same state.
If the two isoclines do not intersect?
coexistence is not possible and the species whose isocline lies furthest from the origin will eliminate the other from the system.
a special case of equivalent competitors exists when?
α12 = α21 = 1 and K1 = K2.
Gause's study of paramecium??
was one of the first studies to provide empirical evidence for competitive interactions like those predicted by the Lotka-Volterra model.
"common garden?
general approach is used to explore whether an observed pattern is due to environmental effects or interactions between species.
spatial and temporal variation?
Observations made at different locations or different points in time typically take on different values
temporal variation ?
used to describe differences in observations that are made at the same location, but at different points in time.
spatial variation?
want to describe differences that result from observations made in different locations, but at the same time.
trade-off?
Due to physical constraints, maximizing one life history trait (e.g., fecundity) often comes at the expense of another (e.g., longevity); the allocation between such desirable but incompatible traits
Neutral ( 0 / 0 )?
occur between two species that inhabit the same area but do not have any positive or negative effect on each other.
Direct host to host transmission ?
strategy in which parasites do not leave one host until they encounter another.
character displacement?
When two species compete, natural selection may reduce the strength of competition by changing some characteristic of one or both species.
dispersal?
ecological process by which organisms move from one place of residence to another.
fecundity?
potential reproductive capacity of an individual organism or population.
desiccate?
means to lose water and dry out.
Competition ( - / - )?
both species do worse in each others' presence than they do if the other species is absent.
Amensalism ( 0 / - )?
one species is unaffected by the interaction, while the second is harmed.
Exploitation ( - / + )?
one species benefits and one is harmed.
proboscis?
is a sucking mouthpart that is long and generally tubular. In mammals.
Commensalism ( 0 / + )?
one species benefits from the interaction while the second species is unaffected.
Mutualism ( + / + )?
both species benefit from their association.
active transmission?
move around seeking new hosts.
passive transmission?
infective life stage of the parasite lurks where it is likely to encounter a new host.
ectoparasites?
live on the outside surface of their host.
Which of these statements is true?
Growth of the predator population lags behind growth of the prey population because the abundance of prey stimulates predator population growth.
endoparasites?
live inside host.
cost-benefit model?
assess the value of a particular behavior or choice by comparing associated costs and benefits.
game theory?
study of strategic decision-making in contests with two or more players. Mathematics and logic are used to predict the rational behavior of individuals playing the game.
parasitoids?
develop inside their host and essentially eat it from the inside out.
Questions about Adaptive value:?
Why is this behavior adaptive for the individual?
do endoparasites or ectoparasites tend to produce worse diseases in humans?
Endoparasites.
Grazers?
are herbivores that specialize on herbaceous plants (grasses, forbs, and herbs),
Questions about Phylogeny:?
How has this behavior evolved over time and why does it differ among species?
browsers?
eat the leaves, bark, and twigs of woody plants.
granivores?
Herbivores that specialize on seeds.
Animal Defenses Aposematism?
Warning colors, sounds, or other characteristics to alert predators that this prey will not be tasty
frugivores?
while those specializing on fruits
Animal Defenses Mimicry?
Looking, sounding, or in other ways mimicking a species that predators avoid
optimal foraging theory?
asserts that evolution has favored behaviors that maximize an individual's rate of food harvest and/or intake.
If dN/dt is less than 0?
the population is shrinking
If dN/dt is larger?
the population is growing faster
reciprocal selection?
occurs when two species both exert pressure on the other through natural selection
Red Queen Hypothesis?
species that evolve fast enough to keep up with (or outpace) evolution in their enemies will generally persist longer than those that evolve more slowly.
Questions about Mechanism:?
What internal and external factors trigger a given behavior?
If the prey and predator populations are both small?
a point will appear in the lower left part of the phase plane.
Questions about Ontogeny: ?
How does this behavior develop over the lifespan of an individual?
coevolution?
occurs when two species that live in close association both adapt in response to selective pressure from the other.
ecology of fear?
integrates the behvioral changes that can result from predator-prey interactions with the numerical changes
patches?
where hares don't like to live but will occasionally cross to reach another bit of forest.
generalist?
an organism that can exploit several (often numerous) different species or take advantage of a broad set of environmental conditions.
metapopulation?
a collection of spatially distinct subpopulations of the same species that are connected via dispersal.