1/23
Looks like no tags are added yet.
Name | Mastery | Learn | Test | Matching | Spaced | Call with Kai |
|---|
No analytics yet
Send a link to your students to track their progress

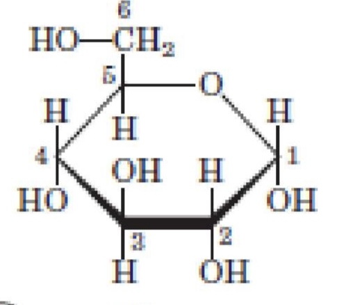
What structure is this?
Glucose

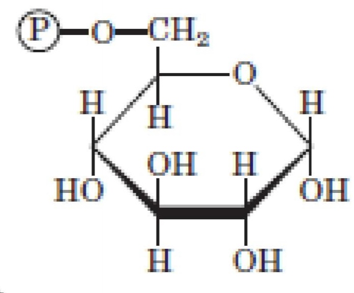
What structure is this?
Glucose 6-phosphate

What structure is this?
Fructose 6-phosphate

What structure is this?
Fructose 1,6-bisphosphate

What structure is this?
Glyceraldehyde 3-phosphate

What structure is this?
Dihydroxyacetone phosphate

What structure is this?
Glyceraldehyde 3-phosphate

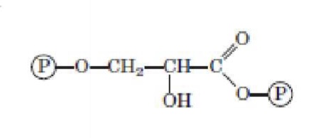
What structure is this?
1,3-bisphosphoglycerate

What structure is this?
3-phosphoglycerate

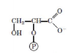
What structure is this?
2-phosphoglycerate

What structure is this?
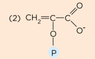
Phosphoenolpyruvate

What structure is this?
Pyruvate

What structure is this?
Glucose

What structure is this?
Glucose 6-phosphate

What structure is this?
Fructose 6-phosphate

What structure is this?
Fructose 1,6-bisphosphate

What structure is this?
Glyceraldehyde 3-phosphate

What structure is this?
Dihydroxyacetone phosphate

What structure is this?
Glyceraldehyde 3-phosphate

What structure is this?
1,3-Bisphosphoglycerate

What structure is this?
3-phosphoglycerate

What structure is this?
2-phosphoglycerate

What structure is this?
Phosphoenolpyruvate

What structure is this?
Pyruvate