Bis 2A

0.0(0)
studied byStudied by 4 people
call kaiCall Kai
learnLearn
examPractice Test
spaced repetitionSpaced Repetition
heart puzzleMatch
flashcardsFlashcards
GameKnowt Play
Card Sorting

1/162

flashcard set

Earn XP

Description and Tags

'

Last updated 3:38 AM on 6/12/23
Name
Mastery
Learn
Test
Matching
Spaced
Call with Kai

No analytics yet

Send a link to your students to track their progress

163 Terms

1
New cards
How does electronegativity predict bonds
* if electronegitivity below .4 it is = non polar covalen
* Bean .5 and 2 = polar covalent
* Above 2= ionic
2
New cards
Condensation
Water is released ‘
Water is released ‘
3
New cards
Protein
Series of amino acids (amino group and carbonyl groups)
 Series of amino acids (amino group and carbonyl groups)
4
New cards
Carbonyardes
C -h2-c

* long chain of Monomers-and polymers
C -h2-c

* long chain of Monomers-and polymers
5
New cards
Nucleic acids
Phosphate group WTH nitrogen and Pentose sugar (deoxiribose)
Phosphate group WTH nitrogen and Pentose sugar (deoxiribose)
6
New cards
Hydroxyl functional group
OH
OH
7
New cards
Carboxyl functional group
O= C - OH
O= C - OH
8
New cards
Phosphate functional
P and 4 O
P and 4 O
9
New cards
Aldehyde functional group
O=c-h
O=c-h
10
New cards
Ketone functional group
0=c with two carbons
0=c with two carbons
11
New cards
Amino functional group
N-2H
N-2H
12
New cards
Sylfhydral functional group
S-H
S-H
13
New cards
Deoxiribose vs ribose
* C2-H = deoxiribose
* C2-OH= ribose

Count where carbonyl starts
* C2-H = deoxiribose
* C2-OH= ribose

  Count where carbonyl starts
14
New cards
Steroids
* ring structure
* 4 linked carbon
* Tail
* Lipids
* Some have OH (STEROLS ALCOHOL CLASSIFICATION)
* ring structure
* 4 linked carbon
* Tail
* Lipids
* Some have OH (STEROLS ALCOHOL CLASSIFICATION)
15
New cards
Unsaturated
\-Double bonds present

\-kinks

\-Liquid and not lightly packed
\-Double bonds present

\-kinks

\-Liquid and not lightly packed
16
New cards
Saturated
* long chain of singlebonds
* No kinks
* Stacked
* \
* long chain of singlebonds
* No kinks
* Stacked
* \
17
New cards
Explain structure of phospholipid
* Phosphate group polar
* Glycerol
* Two non polar fatty acid l
* Make Micelle structure
* Phosphate group polar
* Glycerol
* Two non polar fatty acid l
* Make Micelle structure
18
New cards
Define pKa
The quantative measure of how readily acid donates H+

( when ph increases the more the acid will become depronated)
19
New cards
Primary structure protein
Series of amino. Acids. Held by peptide Bonds

\
Series of amino. Acids. Held by peptide Bonds

\
20
New cards
Secondary structure protein
* localized structure within primary Structure (intra)
* Held by hydrogen Bonds ( btwn carbonyl O and H of two amino acid)
* Folding bc hydrogen bonds
* localized structure within primary Structure (intra)
* Held by hydrogen Bonds ( btwn carbonyl O and H of two amino acid)
* Folding bc hydrogen bonds
21
New cards
Tertiary structure
* held together by everything But non covalent bonds
* Shaped bcc of side chain interactions
* held together by everything But non covalent bonds 
* Shaped bcc of side chain interactions
22
New cards
Quaternary structure
Peptide bonds

* protein-consists of more than one amino acid
Peptide bonds

* protein-consists of more than one amino acid
23
New cards
Describe interaction between amino acids during protein folding of 1,2,3,4)
Drives the folding and intramdecular bonding of the linear amino acid chain
24
New cards
How do differences in lipid composition affect the fluidity of different membranes?
Lipids that can pack more tightly make membranes more rigid and stronger but less fluid
25
New cards
Cell membrane
Protects cell from surrounding
26
New cards
Nucleus
Control Center of cell
27
New cards
Endoplesmic rectum
* folding of protein molecules
* Transport of proteins to Golgi apparatus
28
New cards
Golgi apparatus
* modifying and sorting of proteins
* Transport lipids
* Creation of lysosomes
29
New cards
Lysosomes
* contain digestive enzymes
* Engulf viruses or bacteria
30
New cards
Vacuole =
Maintains proper pressure

* provide structure and support for growing plants
31
New cards
Chloroplasts
Convert light into sugars
32
New cards
Explain how water moves in and out of cell
Osmosis

* low to high
33
New cards
Passive transport
High to low

\-down concentration gradient
34
New cards
Facilitated transport
* move molecules WTH membrane proteins
* \
35
New cards
Active transport
* move molecules against concentration gradient
* Use ATP
36
New cards
First law of thermodynamics
* energy is conserved
* Neither destroyed or created
37
New cards
Second law of thermodynamics
After energy transformation some energy is no longer usable
38
New cards
What makes a reaction spontaneous
delta G
delta G <0

_Exorgeneic
39
New cards
What makes a reaction nonspontancus
Delta G >0

Endorganic
Delta G >0

Endorganic
40
New cards
Now ATP hydrolysis can be coupled to endorgenic beatin
ATP drives endorganic reactions bY phosphorylation

* transferring a phosphate group
41
New cards
What happens during glycolysis
Glucose broken down into pyruvate and energy

* 2 ATPDerived
* Cytoplasm
* Catabolic
* Exorgenic

\
Glucose broken down into pyruvate and energy

* 2 ATPDerived
* Cytoplasm
* Catabolic 
* Exorgenic

  \
42
New cards
Substrate level of phosphorylation
* phosphoryl group transferred from substrate to ADP
* Forms ATP which releases energy
* phosphoryl group transferred from substrate to ADP
* Forms ATP which releases energy
43
New cards
Fermentation explain
Anaerobic pathway breaking down glucose

* glycolysis is the only energy extraction
* Absent oxygen
Anaerobic pathway breaking down glucose

* glycolysis is the only energy extraction
* Absent oxygen
44
New cards
Oxidative phosPhoralyation VS fermentation
\
fermentation

* produces little ATP
* Does not need O2 l ‘‘
* Evolved first
* final e acceptor is pyruvate

Oxidati ve

* mass amounts of ATP
* Needs O2
* Evolved after fermentation
* Final E accepter O2

\
45
New cards
Glucogenesis
Produces glucose

* occurs in mitochondria and cytoplasma
* Anabolic
* Endorgenic
Produces glucose

* occurs in mitochondria and cytoplasma
* Anabolic
* Endorgenic
46
New cards
Pentose phosphate pathucy
* glucose 6 phosphate denhydrogenesis
* ATP synthesis and NADPH
* CO2 releases during oxidation
* glucose 6 phosphate denhydrogenesis
* ATP synthesis and NADPH
* CO2 releases during oxidation
47
New cards
Calvin Cycle
* enzyme is rubisco
* CO2 fixation
* Produce NADPH
* CO2 is fixed in the environment
* Use products of Light dependent reactions
* enzyme is rubisco
* CO2 fixation
* Produce NADPH
* CO2 is fixed in the environment
* Use products of Light dependent reactions
48
New cards
Ether functional group
* central oxygen bonded to two Carbons
49
New cards
Esterbonds
* Central carbon bonded to oxygen
50
New cards
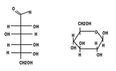
Glucose vs galactose
Glucose vs galactose
\-Direr at position c4

\-aldose
51
New cards
Fructose
Fructose
* divers at C 1 and C2
* Ketone
52
New cards
Nome of biomolecule
Nome of biomolecule
Chosteral

* lipid molecule
* \
53
New cards
Name molecule
Name molecule
Cortisol
54
New cards
A vs B glucose
* differ at C1
* H top = A
* \
* differ at C1 
* H top = A
* \
55
New cards
Cellulose structure
1-4 b linkages glucose
1-4 b linkages glucose
56
New cards
Components of membrane
_Proteins

* lipids
* Carbonyardes
57
New cards
Integral membrane proteins
* integrates completely into membrane structure
* Can stretch from one side to another
* integrates completely into membrane structure
* Can stretch from one side to another
58
New cards
Photo phosphorylation
* transfer of energy from eight
* Creat PMF
* Nadph
* ATP
* transfer of energy from eight
* Creat PMF
* Nadph
* ATP
59
New cards
DNA helices
* couples ex hydrolysis of ATP to unwind DNA
60
New cards
Telomerase
* fixes overhang of RNA using DNA
* RNA dependent polymerase
* Contains RNA primer
61
New cards
DNA polymerase 1
DNA polymerase 1
\-Proofreads DNA

* removes incorrect sequence
* Adds correct base
62
New cards
Direct chemical reversal
* No excision of backbone
* Removes mismatched pair
* No excision of backbone
* Removes mismatched pair
63
New cards
Base excision repair
\-Excision of DNA backbone

* damage ATP
* Glycolsylase detects and removes it
* End nuclease removes site
* Poly/ligase fill gap
\-Excision of DNA backbone

* damage ATP
* Glycolsylase detects and removes it
* End nuclease removes site
* Poly/ligase fill gap
64
New cards
Nucleotide excision repair
* involves THYMINE DIMER
* Damaged region cut cut
* Gap filled in
* involves THYMINE DIMER
* Damaged region cut cut
* Gap filled in
65
New cards
What are the challenges of replicating the ends of linear chromosome and how telomerase solved this?
The DNA in end can not be fully replicated. Resulting in shorter chromosome which telomerase helps
66
New cards
What is the central dogma?
DNA to RNA to protein
DNA to RNA to protein
67
New cards
RNA polymerase
5 to 3’

\-Unwinds DNA (transcription

* does not proofread and correct mistakes
68
New cards
Eukaryotic mRNA
* splicing and capping occur in nucleus
* Introns degraded in nucleus into nueleuides
* Leaves to cytoplasma
69
New cards
Gram negative
* ping (spaced)
* Outer membrane and space
* ping (spaced)
* Outer membrane and space
70
New cards
Gram positive
\-Purple

\- pep layer

* plasma membrane
\-Purple

\- pep layer

* plasma membrane
71
New cards
Endoplasmic reticulum
* Folding protein
* Transport proteins to Golgi apparatus
72
New cards
Lysosomes
* contain digestive enzyme
* Digest excess
* Engulf
73
New cards
Vacuole
* maintains pressure
* Provide structure
74
New cards
Peroxisome
* breaks down toxic materials
* Metabolic activity
75
New cards
How can surface area be increased?
* Can increase protein receptors
* Increase membrane
* \
76
New cards
Microfilements
* composed of actin
* Bound to ATP
* Thicken cortex
* \
* composed of actin
* Bound to ATP
* Thicken cortex
* \
77
New cards
Microtubules
* maintain cell shape
* GTP BOND
* Creates GDP
78
New cards
Intermediate filaments
\-Holds organelles in place

\
79
New cards
Moter proteins
* converts energy from ATP hydrolysis to walk along microtubule
80
New cards
Dynein
Moves from (+ to-)
81
New cards
kinesins
Moves from ( - to+ )
82
New cards
What is the consequences of not having nad+?
Glycolysis would not continue

No ATP formed
83
New cards
\#Of hyorgenbonds stun adenine and thymine
2
84
New cards
. in DNA
Ump
85
New cards
Reverse transpitase
DNA copy from RNA
86
New cards
Promoter
DNA element

* instructs RNA polymerase where to bird
87
New cards
When does saturation Occur
When a group of carrier proteins is operating at max
88
New cards
Silent mutation
Negligible reject
89
New cards
of ligase
Joins 3 hydroxyl and 5 phosphate
90
New cards
Overview of transcription
Intiation

Elongation

\
Termination
91
New cards
Sites on DNA required for transcription
Promoter

* transcription start
* Termination site
92
New cards
Sigma factor
RNA polymerase

_Recognizes promoter

\-Tatta box
93
New cards
Transcription
5 to 3

\-RNA polymerase (unwinds DNA)

94
New cards
Eukaryotic transcription
5 cap modified

Poly A tail added

95
New cards
Translation initiation and stop codons
Start: Aug

_Ribosome chooses start

Stop: USA, UAG,UGA
96
New cards
tRNA
Translates code
97
New cards
Aminoacyl tRNA
Charges TRNA with correct amino acid

ATP required
98
New cards
Overview of translation initiation
* ribosome around mRNA
* TRNA with codon
* 5cap mRNA REQ
99
New cards
Translation elongation
TRNA transfers amino acid to the next trna
100
New cards
Translation translocation
Ribosome moves to the next mRNA codoln