1/64
Looks like no tags are added yet.
Name | Mastery | Learn | Test | Matching | Spaced | Call with Kai |
|---|
No analytics yet
Send a link to your students to track their progress
Ultrastructure of plant cells
Plant cells are eukaryotic cells, found in plants and algae. Most plant cells have the same organelles as animal cells, plus a few extra.

Structure and function of cell wall
Surrounds the cell outside the cell surface membrane and is made of cellulose.
Strengthens and supports the cell and prevents it changing shape.
Contains pores to allow the movement of substances easily.

Structure and function of chloroplast
A small, flattened structure that contains a double membrane.
The inner membrane is stacked into thylakoid.
Contains chlorophyll which is a green pigment that absorbs light for photosynthesis

Structure and function of amyloplast
Found in some plant cells
Synthesises and stores starch molecules and breaks them down to glucose when the cell requires it

Structure and function of vacuole
A membranous sac that contains a fluid called sap, which contains dissolved sugars and salts for the cell.
It allows the cell to become turgid
It isolates unwanted chemicals from the rest of the cell

Structure and function of tonoplast
Membrane surrounding a vacuole

Structure and function of plasmodesmata
Channels of cytoplasm that pass between adjacent cell walls of plant cells.
Allows fast communication and exchange of substances between cells

Structure and function of pits
Sections of the cell wall which adjacent plant cells can exchange fluid or communicate through

Structure and function of middle lamella
A layer of pectin that lies between adjacent plant cells, sticking the cell walls together.

Comparison of plant and animal cells
1. Plant cells have cell walls, animal cells do not.
2. Plant cells have chloroplasts, animal cells do not.
3. Plant cells have large central vacuoles, animal cells have small or no vacuoles.
4. Animal cells contain centrioles, plant cells do not.

Structure and function of starch
Stores energy in plants and is a mixture of amylose and amylopectin.
Amylose - an unbranched chain of glucose molecules joined by 1,4 glycosidic bonds, as a result of that amylase is coiled and so it is a very compact molecule meaning it can store a lot of energy.
Amylopectin - branched and is made up of glucose molecules joined by 1,4 and 1,6 glycosidic bonds, due to the presence of many side branches it is rapidly digested by enzymes therefore energy is released quickly
The 2 polysaccharides are laid down in successive rings that form the starch granules.

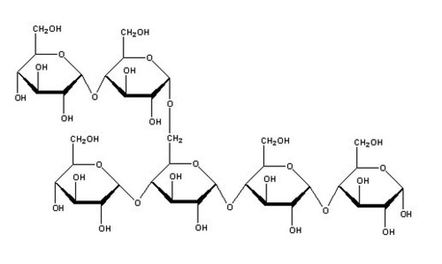
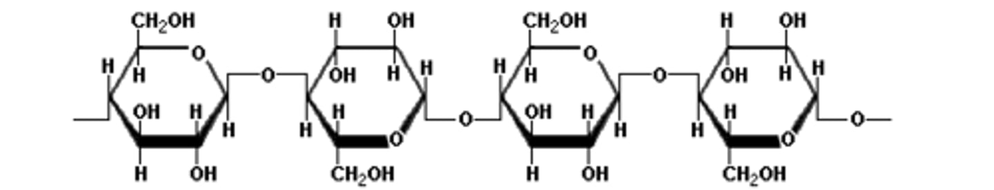
Structure and function of cellulose
A component of cell walls in plants.
Composed of long, unbranched chains of beta glucose which are joined by glycosidic bonds.
Microfibrils are made of long cellulose chains linked together by hydrogen bonds formed between adjacent chains. These microfibrils form long threads that provide structural support in plant cells.

Secondary cell wall
A second cell wall formed between the original cell wall and the cell surface membrane. It only begins to grow once the cell has stopped growing.
It is made of parallel layers of microfibrils of cellulose, with other polysaccharide additions.
The strength and flexibility created by cell walls and their secondary cell walls means plants have useful qualities for human use.

Sclerenchyma fibres in plant fibres
Lignin is a polysaccharide that is added to the secondary cell wall of plant cells in the transport vessel xylem and the sclerenchyma fibres. The lignin makes the cell walls less flexible and more rigid, adding strength to the vascular bundles.
The main function of sclerenchyma fibres is to support the plant.
Sclerenchyma fibres are made from dead cells which are tapered at the ends.
It is found in vascular bundles.

Xylem
The primary function of xylem vessels is to transport water and inorganic ions around the plant.
Xylem vessels form hollow tubes of dead cells.
They are found in vascular bundles.
Xylem are found towards the centre of the plant, followed by the phloem vessels, followed by sclerenchyma the furthest out from the centre.

Transpiration
Transpiration is the loss of water vapor from a plant• Active uptake of ions by roots promotes water uptake
• Water moves up the stem of a plant by mass flow
• Water is evaporated from leaves (via stomatal pores)
The flow of water from root to leaf is the transpiration stream

Root uptake
Soil contains anionic clay particles to which minerals attach
• Examples of cationic minerals include K+,Na+,Ca2+
Roots pump H+ ions into the soil to displace the minerals
• Displaced minerals diffuse into root (indirect active transport)
• Water follows mineral ions into the root via osmosis
Phloem
Phloem is the other vessel found in the vascular bundle, its function is to transport organic solutes via a process known as translocation.
It is made of living cells lined end to end forming a sieve tube element, with surrounding companion cells.

Evaporation in xylem
Some of the light absorbed by a leaf is transformed into heat
• This heat converts water into vapor (evaporation)
The vapor diffuses out of stomata, resulting in transpiration (transpiration is a consequence of gas exchange in the leaf)
• Transpiration rate is regulated by the stomatal guard cells
• Guard cells occlude the stomatal opening when flaccid

Mass flow
Water moves up the stem via mass flow in vessels called xylem
• Pressure is high in root (water in) and low in leaf (water out)
• The pressure differential results in the mass flow of water
This capillary action is mediated by two forces:
• Cohesion (water molecules stick together by H-bonding)
• Adhesion (water molecules adhere to the xylem wall)

Translocation of organic solutes
Plants transport organic molecules from source to sink
• Source: Photosynthetic tissues (e.g. leaves)
• Sink: Storage organs (e.g.fruits, seeds, roots)
Organic molecules are transported via vessels called phloem
• Organic molecules are loaded and unloaded into the
phloem by companion cells at the source and sink
The active loading of solutes at the source creates high solute concentrations within the viscous phloem fluid (sap)
• Water is drawn into the phloem from the xylem (osmosis)
The incompressibility of water causes the sap volume to be increased, creating a pressure gradient (i.e. mass flow)
• Mass flow drives sap along the phloem (source to sink)
Organic molecules are actively unloaded at the sink, which lowers solute concentrations (and water returns to the xylem)
•Loss of water lowers the hydrostatic pressure at the sink, maintaining the pressure gradient (and mass flow)
Carbohydrates are usually transported in the phloem as sucrose, but are typically stored within the sink as starch

Uses of plant fibres and starch to contribute to sustainability
Plant material is renewable and sustainable - its level can be maintained at a constant level. This is because we can grow plants at the rate of which they are being used, whereas with substances like crude oil, which is formed over millions of years, it is being used at a rate extremely higher than the rate at which it is made, meaning we will soon run out of it.
This is why it is important to turn to plant-based substitutes for the current uses of crude oil and fossil fuels, such as the development of biodiesel as a substitute for diesel. Biodiesel is made from ethanol synthesised from the fermentation of plants.
Method used by seed banks in the conservation of endangered species and their genetic diversity
Seed banks store a large number of seeds in order to conserve genetic diversity and prevent plant species from going extinct. Storing seeds, instead of plants, means that a large variety of species can be conserved, it's also cheaper than storing whole plants as it takes up less space.
The seeds are stored in cool, dry conditions as this maximises the amount of time they can be stored for and they are periodically tested for viability.
Changes in allele frequency
Mutations - mutations in genes can result in a new allele, resulting in a change in allele proportions
Natural selection - the process in which fitter individuals, who are better adapted to the environment, survive and pass on the advantageous genes to future generations. Evolution is the process by which the frequency of alleles in a gene pool changes over time as a result of natural selection
Reproductive isolation
If two populations become reproductively isolated, new species will be formed due to accumulation of different genetic information in populations over time, due to different environments and selection pressure.
Concept of niche
Each species has a particular role in its habitat, called its niche, which consists of its biotic and abiotic interactions with the environment.
Organisms are adapted to their own niche so that they may thrive in an ecosystem, largely without competition; since if 2 species occupy the same niche, one will be better adapted and eventually outcompete the other species.
Behavioural adaptations of organisms to their environment
The way an organism acts to increase its chances of survival.
Anatomical adaptations of organisms to their environment
Structural features of an organism that increase its chances of survival.
Calculate an index of diversity (D)
D = (N (N-1)) / Σn (n-1)
N - total number of organisms of all species
n - total number of organisms of each particular species
How can biodiversity be compared in different habitats?
Species richness - the number of different species in a given area
Index of diversity - the number and type of different species in a given area
Calculate the heterozygosity index
Number of Heterozygotes / Number of Individuals in the Population
How can biodiversity be measured within a species using genetic diversity and within a habitat using species richness?
Heterozygosity index
Define endemism
Species that are found in one place on earth and nowhere else
Variety of life
Over time the variety of life on earth has become extensive, yet human activities are threatening the existence of a lot of species
Plant based products
Plants have a lot of useful qualities such as strength provided by sclerenchyma fibres. In the future, plant based products could replace oil-based plastics, not only is this advantageous as oil is running out, but also because plant based products are much more biodegradable so would reduce the waste problems created by non-biodegradable plastics.
Method used by zoos in the conservation of endangered species and their genetic diversity
Zoos use various methods to conserve endangered species and their genetic diversity, some of the methods used include:
Scientific research such as studying the behaviour of animals, working on improving breeding success to increase the population size and controlling and eradicating diseases that have the potential to be lethal to animals.
Captive breeding programmes in which endangered species are carefully bred to increase genetic diversity and population size
Reintroduction programmes which aim to release animals bred in captivity into their natural habitat as well as to restore lost habitats.
Education programmes which aim to educate people about the importance of maintaining biodiversity, captive breeding programmes, as well as illegal trade of animal products.
Main changes that result in reproductive isolation
Seasonal - when individuals of the same species have different mating seasons
Mechanical - changes in genitalia that physically prevent some members of a population breeding with the others
Behavioural - a group of individuals within a population could develop courtship rituals that aren't attractive to the main population
Water
The xylem vessels is responsible for transporting both ions and water form the roots where they are taken in via root hair cells, and then to the other areas of the plant.
Water is required to keep cells turgid. When cells don't have enough water, their cells lose water and the plant wilts. This reduces the surface area of leaves exposed to sunlight and can reduce the plant's overall height, so overall reduce the amount they can photosynthesise, as less sunlight is absorbed by chlorophyll.
Various reactions, like photosynthesis and hydrolysis reactions, also require water as a reactant.
Inorganic ions
The movement of water through the plant in the transpiration stream is how the inorganic ions dissolved in water reach the other areas of the plant.
Ions required for plant growth and development include:
Nitrate ions - required to make nucleotide bases in DNA and amino acids
Calcium ions - needed to form calcium pectate for the middle lamellae
Phosphate ions - required to make ADP and ATP
Magnesium ions - needed to produce chlorophyll
How can the Hardy-Weinberg equation be used to see whether a change in allele frequency is occurring in a population over time?
Used to estimate the frequency of alleles in a population and to see whether a change in allele frequency is occurring in a population over time.
p = frequency of the dominant allele
q = frequency of the recessive allele
p² = frequency of AA (homozygous dominant)
2pq = frequency of Aa (heterozygous)
q² = frequency of aa (homozygous recessive)
The equation can be calculated at regular time intervals to observe if allele frequencies are changing over time in a population; if they do change, it could suggest some alleles are more advantageous than others.

Physiological adaptations of organisms to their environment
Processes inside an organisms body that increase its chances of survival.
Uses of plant fibres to humans
Plant fibres are very strong therefore they can be used to make materials, such as ropes and fabrics.
Production of plant fibre products is cheaper than oil-based ones.
Starch can be used to make bioplastics and bioethanol
Substances derived from plants, such as garlic and cinnamon sticks, have antimicrobial and therapeutic properties.
Bacterial growth
In optimum conditions, a bacterial population can grow exponentially fast, each bacteria can divide once every 20 minutes. The optimal conditions for different bacteria varies greatly, explaining why bacteria are present everywhere on earth, even in places like in acidic lakes where no other organisms can survive.
Ideal conditions for bacterial growth
Warmth - to maximise the rate of enzyme-controlled reactions
Moisture - bacteria need water to dissolve nutrients in and for many chemical reactions
Nutrients - bacteria need various ions for survival and glucose for respiration, all of which they obtain from their external environment.
Optimum pH - to maximise the rate of enzyme-controlled reactions
Oxygen - required for species of bacteria that respire aerobically
Ecosystems
An ecosystem includes all the organisms living in a particular area, known as the community, as well as all the non-living elements of that particular environment. The distribution and abundance of organisms in a habitat is controlled by both biotic (living) factors and abiotic (non-living factors).
Define biodiversity
Variety of life within a given area
A high level of biodiversity is seen as desirable, as it boosts ecosystem productivity and means a high number and type of species is present, and helps to increase sustainability of species and their survival.
Drug testing
Overtime the testing of drugs before people can use them has become more and more vigorous; particularly after the case of thalidomide, where thousands of babies were born with birth defects after the sleeping pill was not tested on pregnant women, so it effects on them and their babies are unknown
Classification
A means of organising the variety of life based on relationships between organisms using differences and similarities in phenotypes and in genotypes.
Phylogenetic classification
Classification can be artificial, such as organising groups of organisms by visible similarities like the ability to fly; or classification can be based on evolutionary origins - this is known as phylogenetic classification.
Species
A group of organisms that can successfully breed to produce fertile offspring and who share similar characteristics; this is important to classifying organisms and also telling apart different species.
Classifying organisms
Originally, classification was more artificial and based around human judgement, but as technology and biochemistry have developed the classification of organisms has been refined to molecular observation of the cells they contain and comparison of DNA, allowing classification to develop and focus more on phylogeny.
Comparison of DNA base sequence, mRNA or polypeptides can be used to observe how closely organisms are related and how recently they shared a recent common ancestor from which both species developed.
Critical evaluation of data
The scientific community evaluates data, such as data that may influence the classification of organisms, in the following ways:
- the findings are published in scientific journals and presented in scientific conferences
- scientists then study the evidence in a process called peer review
- scientists start collecting evidence to either support or reject the suggestion
Domains
The current classification system first groups organisms into 3 domains:
Archaea (primitive bacteria often found in extreme environments)
Bacteria
Eukaryotes (plants, animals, fungal cells and protists)

Taxons
From there, each domain is classified into smaller, non-overlapping groups called talons.
The order of talons in the phylogenetic classification system is domain, kingdom, phylum, class, order, family, genus and species.

Binomial naming system
All organisms are universally named using the binomial naming system which consists of the genus and the species, for instance humans are universally named the 'Homo sapiens'.
William Withering's digitalis soup
Through trial and error, Withering developed a remedy for the condition dropsy - swelling of tissue due to the accumulation of excess water, now called oedema - by using foxglove and an active ingredient within it known as digitalis.
By chance he discovered that one of his patient's dropsy was treated when using an older remedy that contained foxglove and from there made different versions of the remedy containing different concentrations of foxglove, this was his 'digitalis soup'.
Too much digitalis resulted in him poisoning his patients, but too little had no effect on the dropsy, it was though this trial and error that Withering found the optimum dosage, something that is found today by starting with very small doses that slowly increase and monitoring of the effects it has.
Stages of drug testing
1. The drugs are tested on human tissues and cells grown in a lab and computer models predict the effect of them.
2. The drugs are then tested on animals. UK law states each drug must be tested on at least 2 different species; it is done to view the side effects of the drugs.
3. The final main stage is clinical trials which involve testing the drugs on human volunteers and is made of 3 main phases:
Phase 1 - testing on a small group of healthy volunteers - this again checks for side effects and is monitored to see the areas of the body it effects and how long it remains in the body for.
Phase 2 - testing the drug on a small group of volunteers with the illness. This is done to start determining effectiveness in both treating and preventing the disease and also to find the optimum dosage.
Phase 3 - once a drug has passed phase 2 it is tested on a large number of participants, often reaching thousands of volunteers. This final stage is done to confirm effectiveness, dosage, side effects, longer-term effects, whether the drug should not be used on anyone and also so the results can be compared to existing treatments.
Common features of drug testing
The pharmaceutical industry is a big one and also one that scientists and companies can profit from, this is why it's important for drug testing to have common features to help avoid bias and false results, requirements such as:
Placebo group
Double-blind trials
Peer review
Placebo group
A placebo is a substance with no active ingredients, in other words, it does not contain the drug being tested and is normally just a sugar pill. When patients are taking medication there is what is known as 'the placebo effect' where the patients condition improves because psychologically they believe the drug will make them better, so they do make some improvement. Drug testing needs to compare to the placebo group of patients to observe whether the drug is more effective than the psychological effects.
Double-blind trials
A blind trial is where the patient does not know whether they have the active drug or the placebo drug; this is so the placebo effect can be observed.
A double-blind trial is where neither the patient nor the doctor knows which drug they have; this is to stop any subconscious bias the doctor may have when assessing the patient and their improvement.
Peer review
Where studies such as drug testing are reviewed by other professionals to be sure they're accurate, well carried out and significant. This avoids public scares such as the one created over the MMR vaccine and autism, which are based on poorly conducted studies that aren't representative of the drug or medicine in question.
Deforestation
This causes the loss of habitat and food sources for a number of species
Over-expolitation
This is where humans are using organisms and land unsustainably.
Climate change
The burning of fossil fuels has lead to increased emissions of greenhouse gases causing global warming and climate change. This has caused mass habitat destruction in the arctic causing populations of arctic animals to plummet. It has also caused the climate to change faster than animals can adapt, so decreased their populations and changed their distribution across the world.
Pollution
Pollution of chemicals, plastics and other materials across land, lakes and the seas has caused the deaths of many individuals, leading to endangerment and extinction of many species.