1/18
Looks like no tags are added yet.
Name | Mastery | Learn | Test | Matching | Spaced | Call with Kai |
|---|
No analytics yet
Send a link to your students to track their progress

The correct name for the compound shown below is
o-chlorophenol

The correct name for the compound shown below is
m-bromoaniline

The correct name for the compound shown below
p-nitroanisole

The correct name for the compound shown below is
bromomethyl benzene

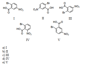
Which of the following is not 2-bromo-5-nitrobenzoic acid
IV

the correct name for the compound shown is:
p-nitroanisole

The correct name for the compound above is
2,5-dibromoaniline

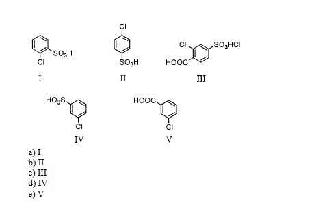
m-Chlorobenzenesulfonic acid is
IV

4-Amino-2-chlorophenol is
IV

3-Bromo-4-nitroacetophenone is
III

4-Chloro-3-nitro-benzaldehyde is
II

3-Chloro-4-nitrobenzoic acid is
II

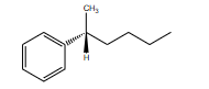
The complete name for the following compound
(R)-2-phenylhexane
Which reagent(s) would serve as the basis for a simple chemical test that would distinguish between benzene and cyclohexene?
Br2

Which of the following would you expect to be aromatic?
II

Which of the following substances, formula C8H9Br, might exhibit the following 1H NMR spectrum
I

The correct name for the compound shown below is?
3-bromo-4-nitroaniline

The correct name for the compound shown below is?
2-bromo-4-nitroanisole

The correct name for the compound shown below is?
2-bromo-5-nitroaniline