1/15
Looks like no tags are added yet.
Name | Mastery | Learn | Test | Matching | Spaced | Call with Kai |
|---|
No analytics yet
Send a link to your students to track their progress
induction
l’apparaition du courant induit dans les conducteurs ohmiques
loi de Faraday

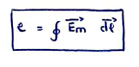
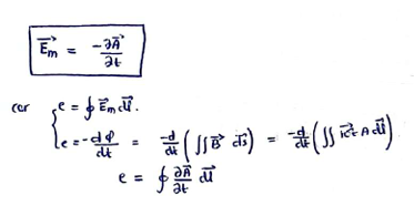
force électromotrice

transformation des champs

l’expression de Em

induction de Neumann

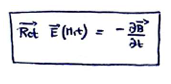
equation de Maxwell-Faraday

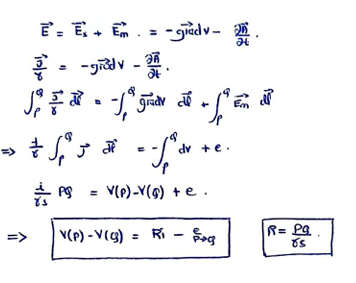
le champ électrostatique

loi d’Ohm généralisé

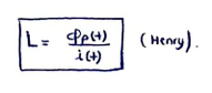
induction propre

inductance

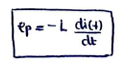
force électromotrice d’auto-indution

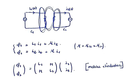
couplage magnétique

coefficient de couplage

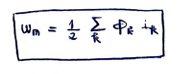
énergie magnétique

énergie potentielle d’un ensemble des charges
