1/59
semester 1
Name | Mastery | Learn | Test | Matching | Spaced | Call with Kai |
|---|
No analytics yet
Send a link to your students to track their progress
what is the dot product equal to

what is the cross product equal to
n = direction

what is the triple vector product
=0 if two vectors are the same/parallel

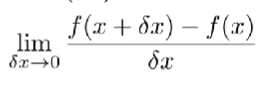
what is the first differentiation principle

what do common things differentiate to

what is the product rule

what is the chain rule

what is the quotient rule

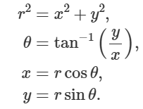
how to convert cartesian to polar

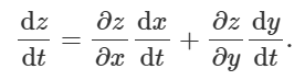
what is a formula to find derivative from partial derivatives

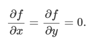
what is the saddle point
stationary point where it is flat and in/decreases on each side

how to find second derivative with partial derivatives

what do the second derivatives mean for certain partial derivatives

how to divide complex numbers

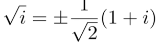
what is sqrt(i) and how to find
setr x = a + bi and x = sqrt(i)

what are complex numbers in polar coordinates

how to write a complex number in cos and sin

how to multiply arguments and modulus

what is the differential of a complex number in polar coordinates

what is euler’s formula

what is de moivre’s theorem

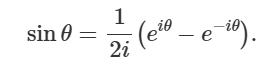
what is sin in exp terms

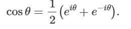
what is cos in exp terms

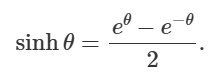
what is sinh

what is cosh

what is sinh (x+y) and cosh (x+y)

what are the derivatives of some hyperbolic functions

what is the formula for arithmetic progression

what is the sum of arithmetic progression

what is the equation for geometric progression

what is the sum of a geometric progression

what happens to a geometric progression depending on r
if mod r>1 sum diverges, if mod r < 1 sum converges
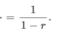
what is the sum of geometric progression to infinity if r <1

what is the sum of geometric progression to infinity if r >1

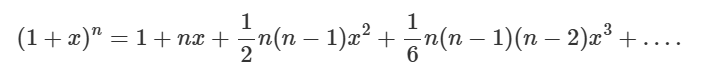
what is the expression for (x+1)^n

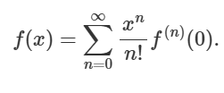
what is the taylor series
assumes - single valued, continuous

what is the maclaurin series
set around x = 0

how to do taylor series with multiple variables
same as usual just add an extra term for the other variable
what is l’hoptials rule

what is the integral of f1/f

what is the integral of f x f1

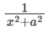
what is the inetgral of f1/ sqrt(f)


integral ofs


integral of


integral of


integral of

how to find general integral of a trig function

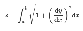
how to find line integrals

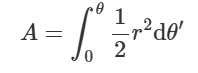
how to find the area in polar coordinates

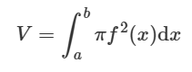
how to find volume of revolution

what is area of curved surface of a cylinder

what is the volume of a cylinder

what are spherical coordinates

what is the surface area in spherical coordinates

what is the volume in spherical coordinates


how to solve ODEs


how to solve second ODEs
solve left side using quadratic equation- complementary function, then add particular integral
what are the guesses for particular integrals

what is the form of a complementary function
Ae^(lambda1 x) + Be^(lambda2 x)
where lambda is answer from quadratic solutoin = 0
what happens if lamda is complex in a second ODE
