1/25
Looks like no tags are added yet.
Name | Mastery | Learn | Test | Matching | Spaced | Call with Kai |
|---|
No analytics yet
Send a link to your students to track their progress
MAXWELL EQUATIONS

[CHARGE DISTRIBUTIONS] (Q)

![<p>[EXAMPLE 1] (line of charge)</p>](https://knowt-user-attachments.s3.amazonaws.com/6769b32d-7ce7-4223-853a-92e182068e0f.png)
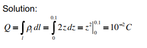
[EXAMPLE 1] (line of charge)

![<p>[EXAMPLE 2] (plates)</p>](https://knowt-user-attachments.s3.amazonaws.com/9f9bccb5-e0b4-4743-af91-07394176ecc3.png)
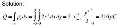
[EXAMPLE 2] (plates)

![<p>[EXAMPLE 3] (spherical shell)</p>](https://knowt-user-attachments.s3.amazonaws.com/87212af6-2ba4-4a83-82c3-945f57729b2b.png)
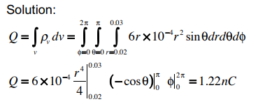
[EXAMPLE 3] (spherical shell)

[ELECTRIC FORCE DUE TO CHARGE] (N)

[ELECTRIC FIELD INTENSITY] (V/M)

[DUE TO SYSTEM OF DISCRETE CHARGES] (V/M)

![<p>[EXAMPLE 4] (Discrete Charges)</p>](https://knowt-user-attachments.s3.amazonaws.com/221ff8fb-2830-447b-a9f2-78ef720917a8.png)
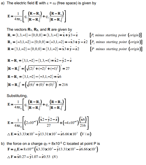
[EXAMPLE 4] (Discrete Charges)

[ELECTRIC FIELD DUE TO A CHARGE DISTRIBUTION] (V/M)

![<p>[EXAMPLE 5] (Ring of Charge) (HALF)</p>](https://knowt-user-attachments.s3.amazonaws.com/18137088-2c29-4626-8ba9-f196a9a576f0.png)
[EXAMPLE 5] (Ring of Charge) (HALF)

![<p>[EXAMPLE 5] (Ring of Charge) (FULL)</p>](https://knowt-user-attachments.s3.amazonaws.com/78c9fa44-732c-4cd9-82da-840e672e8c42.png)
[EXAMPLE 5] (Ring of Charge) (FULL)

![<p>[EXAMPLE 6] (Disk of Charge)</p>](https://knowt-user-attachments.s3.amazonaws.com/16f8f77c-db90-4988-96ab-e02f3d1fc7a1.png)
[EXAMPLE 6] (Disk of Charge)

[GAUSS’ LAW] [Q]

![<p>[EXAMPLE 7.1] (Concentric Cylinders)</p>](https://knowt-user-attachments.s3.amazonaws.com/a1981091-1763-4283-8ed7-9abb61c52752.png)
[EXAMPLE 7.1] (Concentric Cylinders)

![<p>[EXAMPLE 7.2] (Infinite Line of Charge)</p>](https://knowt-user-attachments.s3.amazonaws.com/cfd659cd-a4da-4e2a-8c6b-a73c6bdcdaad.png)
[EXAMPLE 7.2] (Infinite Line of Charge)

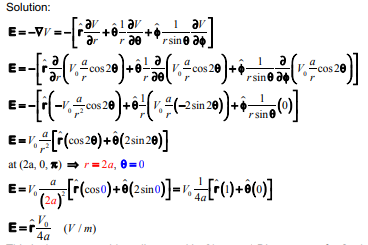
[ELECTRIC SCALAR POTENTIAL] (V/M)

![<p>[EXAMPLE 8] (Spherical)</p>](https://knowt-user-attachments.s3.amazonaws.com/134c9da3-0931-41c4-95f2-41f0ec134ae2.png)
[EXAMPLE 8] (Spherical)

![<p>[EXAMPLE 9] (Disk Derived)</p>](https://knowt-user-attachments.s3.amazonaws.com/d73ccd93-8b68-45db-ac46-720e2b09421a.png)
[EXAMPLE 9] (Disk Derived)

[CAPACTIANCE] (F)

[Capacitance of a coaxial line]

[Capacitance of a parallel plate]

[ELECTROSTATIC POTENTIAL ENERGY] (J)

[Electrostatic Potential Energy of a Parallel Plate]

[Total Energy Stored in a Capacitor]

![<p>[EXAMPLE 10] (Coaxial Cable)</p>](https://knowt-user-attachments.s3.amazonaws.com/56d852eb-ba52-48e9-9181-1ca7f6d5b4ce.png)
[EXAMPLE 10] (Coaxial Cable)
