1/7
Looks like no tags are added yet.
Name | Mastery | Learn | Test | Matching | Spaced | Call with Kai |
|---|
No study sessions yet.
how do eicosanoids achieve different effects in different tissues?
GPCRs activated by eicosanoids are tissue specific
the following is which type of fatty acid?
omega 6
membrane phospholipids are cleaved by phospholipase by which metabolic process?
hydrolysis
how would the following modification influence oxidation of carbon 15?
completely block oxidation

would the following increase, decrease, or hav no effect on stability?
increase

would the following increase, decrease, or hav no effect on stability?
no effect

would the following increase, decrease, or hav no effect on stability?
increase

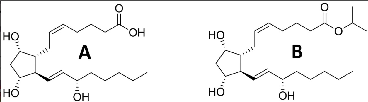
which would have higher corneal permeability?
B