1/19
Looks like no tags are added yet.
Name | Mastery | Learn | Test | Matching | Spaced | Call with Kai |
|---|
No analytics yet
Send a link to your students to track their progress
Use Case
Describes basic system functions in terms of what the user can do and how the system responds. Each use case describes exactly one function.

Actor
Someone who uses the system to achieve a particular goal

Primary actor
user who initiates the use of the system - left side
Secondary actor
User who responds or reacts after an action is performed, provides support, or receives output - right side
An include relationship
Represents the inclusion of the functionality of one use case within another, happens every time a Base Use Case is executed

An extend relationship
Represents the extension of the use to include optional behaviour. Happens sometimes when a certain criteria is met

Generalization relationship
AKA inheritance, breaks a general use case into specialized use cases

Activity Diagram
Models how a business operates through business processes. Used to illustrate movement of data between activities
Elements of activity diagram
Activity, Object Node, Control Flow, Control Nodes
Object Node - Activity diagram element
Represents a flow of information from one activity to another
Control flow - Activity diagram element
Models the execution paths

Types Control Nodes - Activity diagram element
-Initial node
-Final activity node
-Decision node
-Merge node
-Fork node
-Join node
Activity
Represents a set of actions

initial Node
The beginning of a set of actions

Final Node
Stops all flows in an activity

Decision Node
Represents a test condition

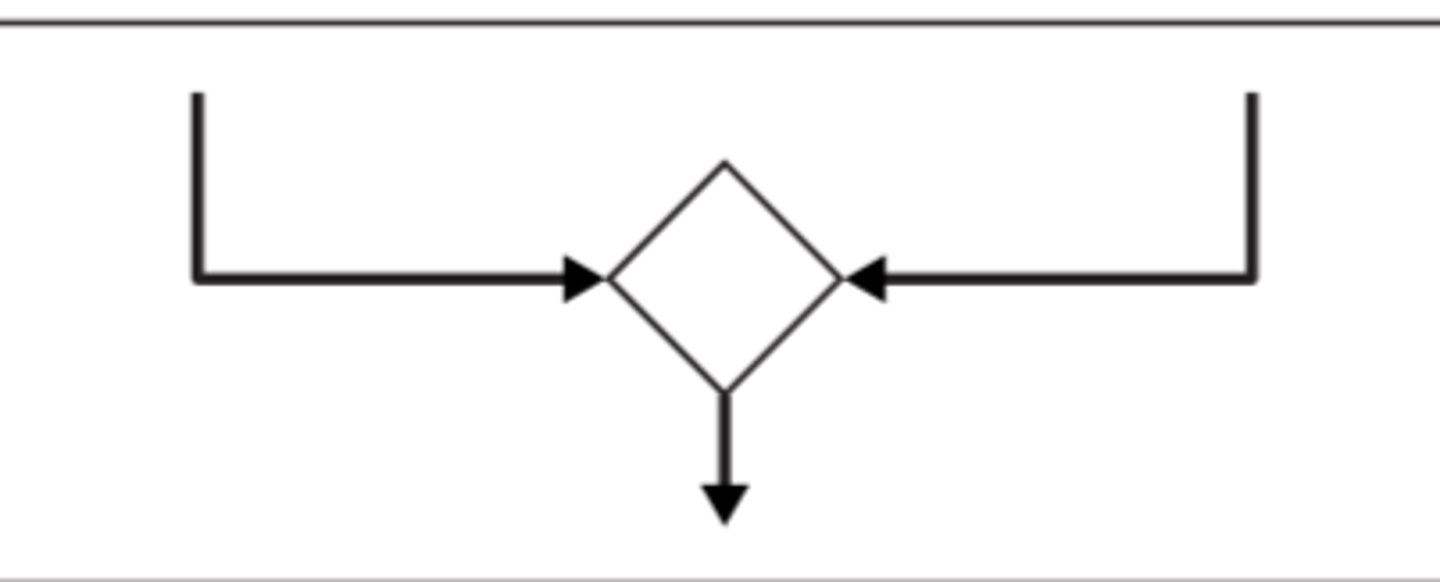
Merge Node
Used to bring back different decision paths that were created using a decision node

Fork Node
Used to split behaviour into a set of concurrent flows of activities for actions

Join Node
Used to bring back together a set of concurrent flows of activities or actions

Swimlane
A way to break an activity diagram into rows or columns. Assigns activties to specific actors or systems
