Inverse Trigonometry Derivatives

0.0(0)
studied byStudied by 0 people
0.0(0)
full-widthCall Kai
learnLearn
examPractice Test
spaced repetitionSpaced Repetition
heart puzzleMatch
flashcardsFlashcards
GameKnowt Play
Card Sorting

1/5

encourage image

There's no tags or description

Looks like no tags are added yet.

Study Analytics
Name
Mastery
Learn
Test
Matching
Spaced

No study sessions yet.

6 Terms

1
New cards

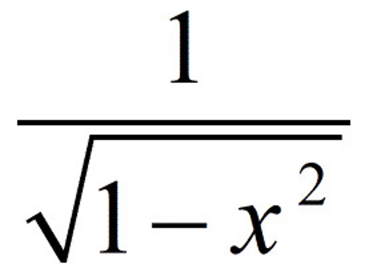
y = sin^-1 x

y' =

<p>y' =</p>
2
New cards

y = cos^-1 x

y' =

<p>y' =</p>
3
New cards

y = tan^-1 x

y' =

<p>y' =</p>
4
New cards

y = cot^-1 x

y' =

<p>y' =</p>
5
New cards

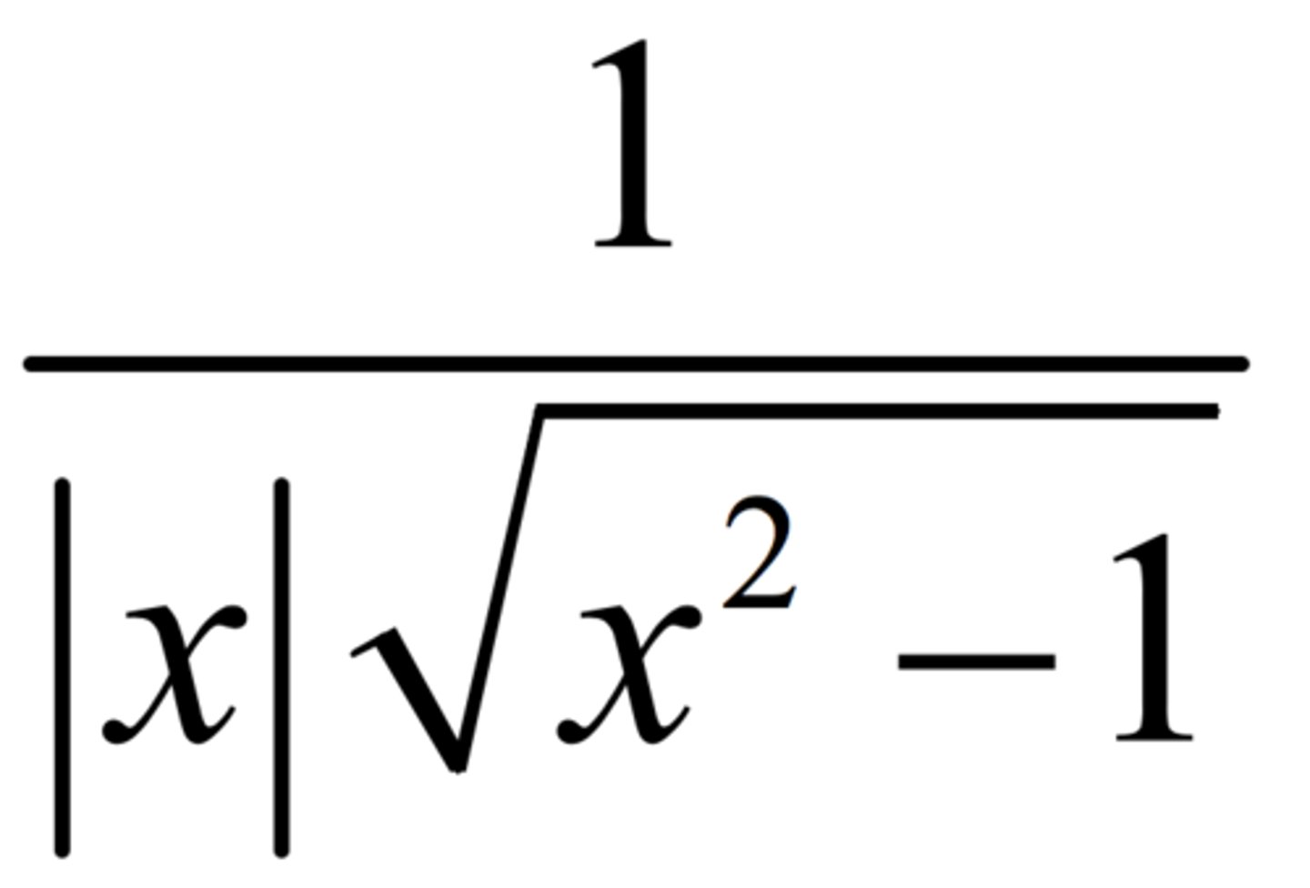
y = sec^-1 x

y' =

<p>y' =</p>
6
New cards

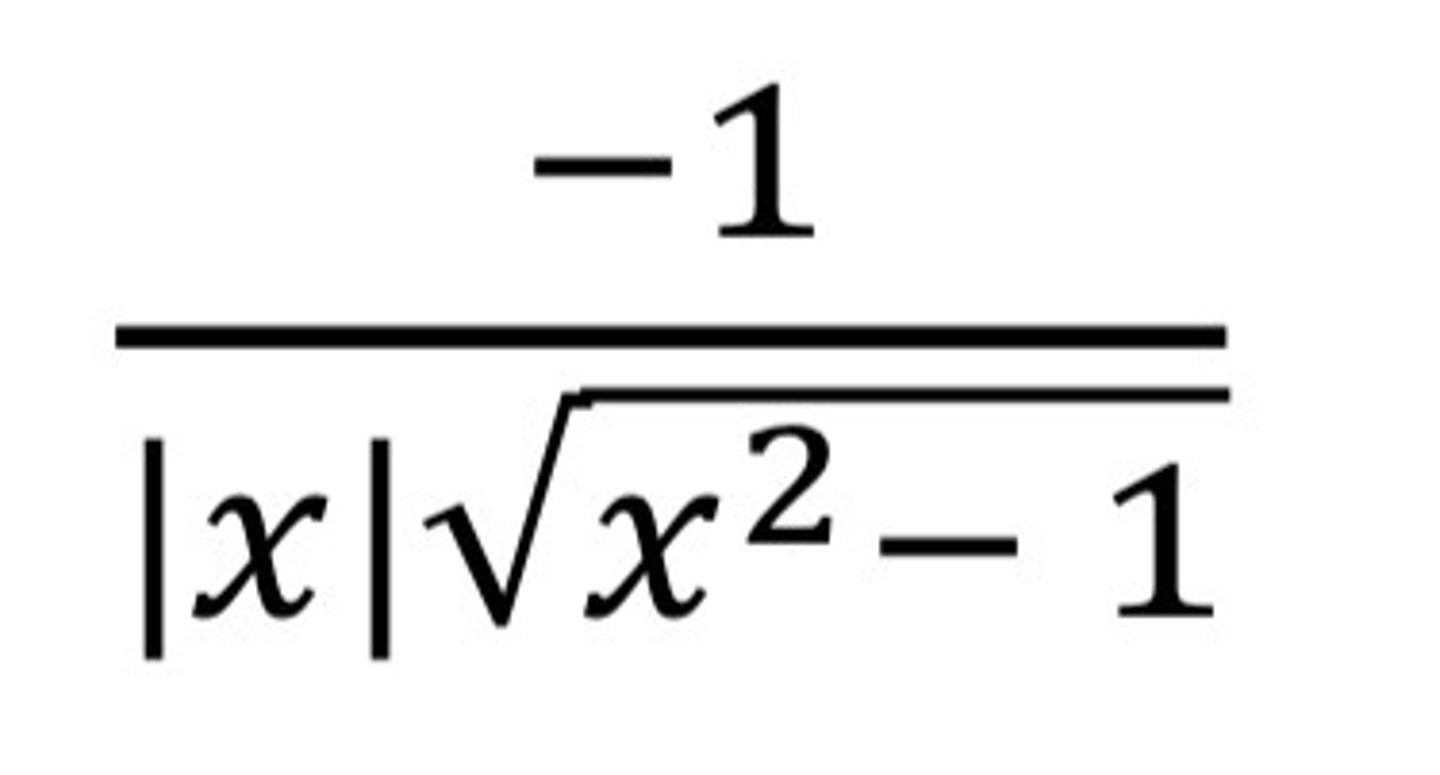
y = csc^-1 x

y' =

<p>y' =</p>

Explore top flashcards