1/40
Looks like no tags are added yet.
Name | Mastery | Learn | Test | Matching | Spaced | Call with Kai |
|---|
No analytics yet
Send a link to your students to track their progress

Ammonia is highly toxic, what is this molecule that helps to eliminate nitrogen?
Urea
Which molecule serves as the acceptor of alpha-amino groups from other amino acids and thereby forms glutamate?
Alpha-ketoglutarate

What is this molecule?
Alpha-keto acid
What amino acid participates in a metabolic cycle with glucose to move amino groups from muscle to liver?
Alanine
Which amino acids participate in a metabolic cycle that moves carbamoyl groups from the mitochondria to cytoplasm?
ornithine and citrulline
Which intermediate in the Citric Acid Cycle is also a product of the Urea Cycle?
Fumarate
What kind of enzymatic defect causes Maple Syrup urine disease?
Deficient oxidative decarboxylation activity
What molecules are excreted as part of the normal human pathway of nitrogen-elimination?
Urea and Uric Acid

Correctly name the class of enzymes that catalyze this reaction:
Aminotransferase

Gluconeogenesis in liver
Glycolysis in muscle
Which molecule participates in Urea Cycle reactions in both the cytoplasm and the mitochondrial matrix?
Citrulline
In the oxidative decarboxylation of branched-chain amino acids, CO2 is released and the remaining carbon skeleton is transferred to an acceptor molecule. what is the name of this acceptor?
Coenzyme A
What compound accumulates in patients with ornithine transcarbamoylase deficiency, and produces especially dangerous symptoms?
Ammonia
Arginine can be synthesized from glutamate. the conversion from glutamate to arginine DOES NOT include:
Consumption of NADH

Which amino acid is a major source of one-carbon units by donating hydroxymethyl groups to tetrahydrofolate?
Serine
In the activated methyl cycle, methionine is regenerated from homocysteine by transfer of a methyl group from:
Tetrahydrofolate carrying a methyl group
Which alpha-keto acid is formed directly by transamination of aspartic acid?
Oxaloacetate


Pyridoxal Phosphate (B6)
2 Nitrogen atoms are eliminated at every turn of the urea cycle. Identify sources of BOTH nitrogen atoms as they enter the cycle:
Ammonium ion and aspartate

Enzyme: Glutamate dehydrogenase
Product: Alpha-ketoglutarate
In the urea cycle, which amino acid undergoes hydrolysis to produce ornithine and urea?
Arginine

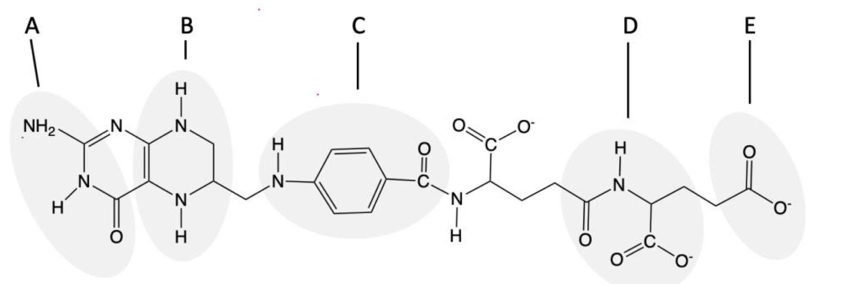
Sulfonamides are an important class of antibacterial drugs that are returning to use with the rise of penicillin-resistant bacteria. Attached is the structure of THF. Which motif most closely resembles that of sulfonamide?
Motif C

FH4 → B12 →SAM
What are the consequences of phenylketonuria?
Reduced melanin and elevated phenylpyruvic acid
Consider a single turn of the Urea Cycle, starting with carbon fixation. What are the intermediates in the correct order?
Carboxyl phosphate
Citrulline
Arginosuccinate
Which alpha-ketoacid is formed directly by transamination of asparagine?
Asparagine

Under conditions of starvation, which molecule acts as a low-toxicity carrier of nitrogen atoms to the liver?
Alanine
Which amino acid is most likely to be elevated in a person who has a defective branched chain alpha-keto acid dehydrogenase? (Causes MSUD)
Leucine

Molecule 1 is reduced, NADPH is oxidized
Which enzyme catalyzes the rate-limiting step in the urea cycle?
Carbamoylphosphate Synthetase
Patients with “classical” phenylketonuria are unable to make enough of an amino acid, so it must be provided in the diet. Which amino acid must be provided?
Tyrosine
The molecule shown is the prosthetic group for an enzyme that participates in amino acids biosynthesis. What is it?
Pyridoxal 5'-phosphate (PLP) (active form of B6)

A. Aspartate
B. Alanine
What metabolite accumulates when a human has low arginosuccinase activity?
Citrulline
→ Low blood pH
→ High concentrations of ketones in blood
→ High concentrations of Valine in cerebrospinal fluid
What is the product when ammonia is removed from serine by a dehydratase?
Pyruvate
When an aminotransferase acts on glutamate and oxaloacetate, it produces alpha-ketoglutarate and:
Aspartate
Hyperhomocyteinemia (elevated homocysteine concentration in the blood) is associated with cardiovascular disease. What strategy would be expected to reduce levels of circulating homocysteine?
Supplementation of the diet with Folate (B9)
Vitamin b12 deficiency has an important effect on phospholipid biosynthesis. What is a consequence of Vitamin B12 deficiency?
Elevated phosphatidylcholine ethanolamine and phosphatidylcholine choline
What is a function of methotrexate?
It inhibits the reduction of dihydrofolate
What non-proteinogenic amino acid can be converted into ornithine or proline in a small number (<3) of reaction steps?
Glutamate Semialdehyde