Unit 10 - Equilibrium

0.0(0)
Studied by 0 people
call kaiCall Kai
learnLearn
examPractice Test
spaced repetitionSpaced Repetition
heart puzzleMatch
flashcardsFlashcards
GameKnowt Play
Card Sorting

1/19

encourage image

There's no tags or description

Looks like no tags are added yet.

Last updated 10:54 PM on 3/26/26
Name
Mastery
Learn
Test
Matching
Spaced
Call with Kai

No analytics yet

Send a link to your students to track their progress

20 Terms

1
New cards

When is chemical equilibrium reached?

  • when the rate of both forward and reverse reactions are equal

  • when the concentration of reactants and products are constant (NOT EQUAL!)

2
New cards

What type of reaction can reach equilibrium?

reversible reactions

3
New cards

What does it mean when the rate of the forward reaction is greater than the reverse reaction?

more products are being made; the reaction is proceeding to the right

4
New cards

What does it mean when the rate of the reverse reaction is greater than the forward reaction?

more reactants are being made; the reaction is proceeding to the left

5
New cards

Are there any observable changes when a reaction reaches equilibrium?

no because the forward and reverse reactions are happening at the same time and rates

6
New cards

How is chemical equilibrium maintained?

  • system must be closed (nothing can enter or leave)

  • volume must remain the same (constant partial pressure)

  • temperature must remain the same to maintain the same rxn rates

7
New cards

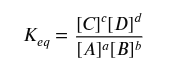
What is the equilibrium constant (Keq)?

the [ ] of products raised to their stoichiometric coefficients divided by the [ ] of reactants raised to their stoichiometric coefficients

<p>the [ ] of products raised to their stoichiometric coefficients <strong>divided</strong> by the [ ] of reactants raised to their stoichiometric coefficients </p>
8
New cards

Is Keq the same at all temperatures during a reaction?

no, Keq is temperature dependent

9
New cards

What phases of matter should be included in a Keq expression?

only gases and aqueous substances

(NO liquids or solids)

10
New cards

What does Keq tell us about a reaction?

it tells us whether the reactants or products are favored when equilibrium is reached

11
New cards

What does a Keq > 1 mean?

products are favored at equilibrium

12
New cards

What does Keq < 1 mean?

reactants are favored at equilibrium

13
New cards

What is the reaction quotient (Q)?

tells you the general concentration of products and reactant at any moment in time; same expression as Keq

14
New cards

What does it mean when Q < Keq?

the reaction with proceed to the right to make more products to reach equilibrium

15
New cards

What does it mean when Q > Keq?

the system will proceed to the left to make more reactants to reach equilibrium

16
New cards

What does it mean when Q = Keq?

the system is at equilibrium

17
New cards

What is a different form of the Keq expression that can be used when dealing with gases only?

you can use partial pressure values instead of concentration

(use round parentheses not brackets)

18
New cards

What is the coefficient rule?

when the coefficients in a reaction equation are multiplied by a factor of n, the Keq value is raised to the n power

19
New cards

What is the reciprocal rule?

if a reaction is reversed, its Keq is the inverse/reciprocal of the initial Keq value

20
New cards

What is the multiple equilibria rule?

when two or more reactions are combined, the Keq is the product of the individual Keq values of each reaction

Explore top notes

note
Inhalants
Updated 1250d ago
0.0(0)
note
Heimler APUSH TP 5.6
Updated 465d ago
0.0(0)
note
Japanese Term 3- fashion
Updated 288d ago
0.0(0)
note
DNA Replication
Updated 1200d ago
0.0(0)
note
What Is Human Geography?
Updated 1336d ago
0.0(0)
note
Chem Basics
Updated 902d ago
0.0(0)
note
Inhalants
Updated 1250d ago
0.0(0)
note
Heimler APUSH TP 5.6
Updated 465d ago
0.0(0)
note
Japanese Term 3- fashion
Updated 288d ago
0.0(0)
note
DNA Replication
Updated 1200d ago
0.0(0)
note
What Is Human Geography?
Updated 1336d ago
0.0(0)
note
Chem Basics
Updated 902d ago
0.0(0)

Explore top flashcards

flashcards
English II Vocab #8
25
Updated 1232d ago
0.0(0)
flashcards
Spanish 1 T1 - Unit 3 Vocabulary
58
Updated 1228d ago
0.0(0)
flashcards
subjunctive
31
Updated 1070d ago
0.0(0)
flashcards
Décris la famille pt 2 (yr 10)
25
Updated 312d ago
0.0(0)
flashcards
qdqqdqwdqd
80
Updated 1194d ago
0.0(0)
flashcards
English II Vocab #8
25
Updated 1232d ago
0.0(0)
flashcards
Spanish 1 T1 - Unit 3 Vocabulary
58
Updated 1228d ago
0.0(0)
flashcards
subjunctive
31
Updated 1070d ago
0.0(0)
flashcards
Décris la famille pt 2 (yr 10)
25
Updated 312d ago
0.0(0)
flashcards
qdqqdqwdqd
80
Updated 1194d ago
0.0(0)