1/93
Looks like no tags are added yet.
Name | Mastery | Learn | Test | Matching | Spaced | Call with Kai |
|---|
No analytics yet
Send a link to your students to track their progress
Why is soft sediment crucial
-nutrient recycling
-carbon storage
-habitat provision for benthic organisms
-biogeochemical cycling
-bioturbation & sediment stabilisation by fauna
What is a benthic organism
live on/in bottom sediments of aquatic environments
What is biogeochemical cycling
movement/transformation of chemical elements between living organisms, atmosphere & crust
(re)cycling of essential nutrients
What is bioturbation & sediment stabilisation
-physical movement of soil by fauna or plant roots
-rework of soils & sediments by animals/plants
Global distribution of Marine Sediments:
-70% earth covered in soft sediment
-soft sediment habitat=ecological zones(distinct region characterised by unique features)
-Estuaries, lagoons, fjords, intertidal zones, continental shelf
What is oxic sediment
oxygenated, nearest water column to surface
What is anoxic sediment
oxygen penetration decreases, further into ground
What is redox potential discontinuity
where organic matter can/cannot be oxidised
found between oxic & anoxic sediment
Forbes Azoic hypothesis
-marine life decreased with depth
-nothing in soft sediment- no ss habitats
-later proven wrong
9 environmental drivers
Sediment grain size
wave energy
turbidity
oxygen
nutrient
temp
salinity
organic matter
depth
Sediment grain size
key driver to what community lives there.
water retention- important because of interstitial spaces
smaller interstitial space= less poor water & less O2 penetration= higher organic material
More biological O2 demand
What is interstitial spaces (grain size)
space between grain sizes
grain size difference= difference in interstitial space
Wave Energy
fine sediment implies low energy environment
energy of waves sorts out particles
Wave energy- estuary
low habitat & fine particles build over time
Wave energy- fast flowing rivers
course sediment, fine particles move away & accumulate indifferent region
Low current
infaunal
mobile
deposit feeding
Soft substrate
infaunal
mobile
deposit feeding
infaunal organisms
live within sediment of ocean floor
Epifaunal organisms
live on the sea floor
High current
epifaunal
sessile
filter feeding
Hard substrate
epifaunal
sessile
filter feeding
Benthic community food web
Primary production
Detrital matter
Secondary production
Main predators
Bacterial loop
Primary production
happens through seaweed/algae/diatoms
produce organic matter & mucus
eat messily & ends on sea floor
Detrital matter
imported from other system (river/marine source)
organic matter decomposed into small particles
broken down by soft sediment animals
Secondary production
mainly deposit feeders- some suspension/filter
limited filter due to turbid waters (full of sediment)
can get clogged
Main predators
seabirds, fish, crabs
Bacterial loop
all stages of food web produce mucus/ organic matter
bacteria work on matter & hungry for O2
cause high biological O2 demand= stressful environment
Meiofauna size
between 32μm-1mm
Meiofauna Habitat
infaunal
Meiofauna Feeding
bacteria, microalgae, detritus, other meiofauna
Macrofauna Size
>1mm
Macrofauna Habitat
Infauna or epifauna
Macrofauna Feeding
deposit, suspension, grazers, predators
Macrofauna Mobility
mobile, burrow, crawl, short distance swimming
Ecological importance: Nutrient cycling
infauna break down organic matter & recycling nutrients
Ecological importance: Food web
food source for larger invertebrates & fish
Ecological Importance: Bioindicators
sensitive to environmental changes, making them useful for monitoring ecosystem health
Ecological Importance: Bioturbation
macrofauna rework sediments, enhance o2 penetration & nutrient cycling
Ecological Importance: Habitat engineering
species modify physical structure of sediments, influencing habitat availability for other organisms
Ecosystem engineers: Arenicola marina
dense population= high bioturbation
species dominance
Ecosystem engineers: artificial tube worm experiment
higher sediment stability
stimulated development of diatom biofilm & mucilage
more abundant meio & macrofauna communities
Ecosystem engineers: blue mussel
provide 3D benthic tertiary habitat
root stabilisation
immigration of new benthic species
increase biodiversity
Benthos meaning
community of organisms that live on/in/near the bottom of water (benthic zone)
Microfauna meaning
animals <0.1mm in size
protozoa/bacteria
Meiofauna meaning
animal <0.5mm in size
interstitial
nematodes, small amphipods
Macrofauna meaning
animals >0.5mm in size
crabs, shrimp, starfish, molluscs
Feeding modes: Deposit
feed on organic matter that settle on sediment
Deposit: What do they eat
organic detritus, bacteria, microalgae, mucus
Deposit: How do obtain food
ingest sediment
use palps/tentacles to collect particles
Deposit: Where do they feed
subsurface feeders: within sediment column, head down
surface feeder: on/just below sediment- water interface
Deposit: Ecological matter
bioturbated sediment
regulate communities
sediment stability
organic matter breakdown
Feeding mode: Suspension
filter particulate organic matter directly from water column
Suspension: What do they eat
suspended organic particles, detritus, phytoplankton, micro-zooplankton
Suspension: How do obtain food
siphons, tentacles, cilia, mucus nets
siphons- water & food particles filter through siphon, filtered water with particles removed is expelled
Suspension: Where do they feed
above sediment/surface
many live buried but feeding appendage into water column
Suspension: Ecological matter
benthic-pelagic coupling- as they filter they recycle nutrients, use suspending material
transfer co2 down
influence particle resuspension, turbidity, sediment stability
Feeding modes: Carnivores/Scavengers
actively hunt prey/consume dead organic material
Scavenger: What do they eat
other infaunal animals
Scavenger: How do obtain food
active hunting using jaws
scavenging on organic debris
Scavenger: Where do they feed
in/across upper sediment layers
mobile
Scavenger: Ecological matter
prevent dominance by few opportunists
maintain biodiversity
promote sediment mixing
Feeding modes: Chemosymbiotic
harbour bacterial symbionts that oxidise reduced compounds
Chemo: What do they eat
they don't
rely on symbiotic bacteria in tissue
Chemo: How do obtain food
absorbing products of chemical chemoautotrophy
Chemo: Where do they feed
Anoxic/micro-oxic sediment zones
where hydrogen sulphide is abundant o2 is low
Chemo: Ecological matter
link oxic & inoxic layers
detoxify sediments by consuming sulphide
sustain life where no photosynthesis
Spatial feeding patterns
vertical resource partitioning
different feeding guilds occupy different vertical niches in sediment
Temporal feeding patters
tidal partitioning
high tide= suspension feeders dominate
mudflats- nocturnal
Feeding windows
if all feed at same time: survival trade-offs & energy access
if they overlap too much: lose functional complementarity, homogenised bioturbation, comp exclusion
3 types of diversity
taxonomic
functional
phylogenetic
Taxonomic: Focus
species identity & counts
'who's there'
Taxonomic: Measures
species richness/ evenness
Taxonomic: Examples
no. of polychaete, bivalve & amphipod species
Taxonomic: Why it matters
indicates basic biodiversity level
Functional: Focus
ecological roles & traits
'what do they do'
Functional: Measures
feeding mode, mobility, burrowing type
Functional: Examples
mix of deposit, suspension & predatory feeders
Functional: Why it matters
links biodiversity to ecosystem function
Phylogenetic: Focus
evolutionary history 'how are they related'
Phylogenetic: Measures
branch lengths on phylogenetic tree
Phylogenetic: Examples
representation of multiple phyla
Phylogenetic: Why it matters
reflects evolutionary potential & resilience
Species richness
amount of different species in an ecosystem
how balanced a community is
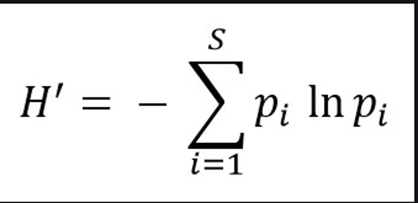
What equation is used for biodiversity
Shannon-Weiner Index- combine richness & evenness

Functional Richness : Metric
FRic
Functional Richness: what it measures
range of functional traits present in community
Functional Richness: Ecological interpretation
mudflat with feeding types= high FRic
1 feeding type= low FRic
Functional Evenness: Metric
FEve
Functional Evenness: what it measures
How evenly species & abundance are distributed across trait space
Functional Evenness: Ecological interpretation
high FEve= surface & deep-burrowing deposit feeders equally abundant
low FEve= 1 more dominant type
Functionally redundant
species that serve same functional role in functional group
ecosystems with greater functional diversity= more resilient than lower functional diversity ones
if 1 species in group affected by disturbances, another species will carry out role
Biodiversity-Ecosystem Function (BEF)
theory that levels of ecosystem functions and stability of functions depend on levels of biodiversity
denitrification= process of turning nitrate into nitrogen gas through anaerobic microbial action
BEF threats
Bottom trawling- disturbs sediment layers, remove key species, reduces habitat complexity
Pollution- microplastics alter community structure & function
Climate change- temp change, hypoxia & acidification affect species tolerance & interactions
Coastal development- habitat loss & fragmentation reduce richness & connectivity
Why is redundancy important in ecosystems under stress?
multiple species perform similar roles
under stress if 1 species declines, other can maintain function
making ecosystems more resilient, less likely to collapse