1/24
Looks like no tags are added yet.
Name | Mastery | Learn | Test | Matching | Spaced | Call with Kai |
|---|
No analytics yet
Send a link to your students to track their progress
REMEMBER: Not every antimicrobial is an antibiotic!!
Antimicrobial = synthetic
Antibiotic = naturally produced
What are the 5 different bacterial characteristics that antimicrobials target?
1) Cell Wall
Beta lactams and glycopeptides
2) Plasma membrane
Polymyxins
3) Ribosomes
Aminoglycosides and tetracyclines
30S subunit
Macrolides, lincosamides, chloramphenicol
50S subunit
4) Metabolic pathways
Sulfonamides
Folic acid synthesis
Mycolic acid synthesis
Izoniazid
5) DNA Synthesis
Fluoroquinolones
What are the 4 main antimicrobial classes that disrupt protein synthesis in bacteria? What exactly is the target for each class?
• Tetracyclines - bind to the 30S ribosomal subunit; blocks the binding of tRNAs, inhibiting protein synthesis
• Aminoglycosides - bind to the 30S ribosomal subunit; impairs PROOFREADING of mRNA, resulting in the production of faulty proteins
• Chloramphenicol - Binds to the 50S subunit, preventing peptide bond formation and stopping protein synthesis
• Lincosamides and Macrolides - Same ^
**act on the bacterial ribosome which is different from that of vertebrates (selective toxicity)
Describe tetracyclines… in what animal are they most commonly used? What about their structure makes them good “chelating agents”?
Tetracyclines are the MOST common antimicrobial
Used mainly for large animals (namely cows)
Are great chelating agents due to their structure (for aromatic rings)
Chelating = binds to metallic ions (i.e. calcium, magnesium, etc.)
4 - ringed structure wraps around these ions and prevents them from being available for bacteria
What 3 types of tetracyclines are “short acting”?
Tetracycline
Chlortetracycline
Oxytetracycline
Can be modified to be long acting…
What two types of tetracyclines are long acting?
DOXYCYCLINE
Minocycline
Are tetracyclines bactericidal, or bacteriostatic?
BacterioSTATIC… binds reversibly to bacterial ribosomes, inhibiting bacterial protein synthesis
Because of this, more effective against actively multiplying bacteria (not dormant)
Initially diffuse across the outer cell membrane, and are taken up by susceptible bacteria
Describe tetracycline’s spectrum of activity… what kinds of bacteria can they target?
BROAD spectrum of activity
Against both aerobic and anaerobic Gram-negative
Pasteurella multocida and Mannheimia haemolytica - BRD; Bordetella bronchiseptica
AND Gram-positive
Streptococcus, Staphylococcus, Enterococcus spp., and intracellular (Rhodococcus equi) bacteria
Mycoplasma
Chlamydia spp., rickettsiae
May also bind to mammalian ribosome and cause adverse effects
Not great selective toxicity
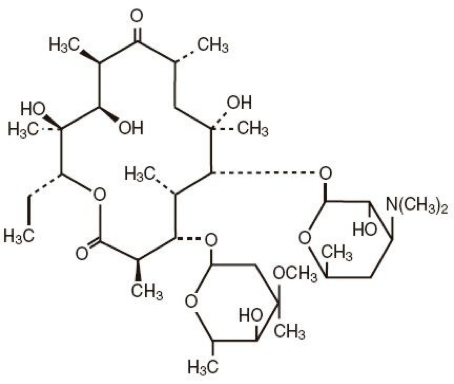
Describe the mode of action of tetracyclines… what subunit of the ribosome does it bind to? What effect does this have?
Binds REVERSIBLY to the 30S subunit on its Acceptor (A) Site (see image)
Blocks the binding of aminoacyl - tRNA to the mRNA-ribosome complex, preventing elongation of the peptide chain
Prevents it from growing / multiplying = bacteriostatic

Describe the pharmacokinetics of the tetracyclines… how is it usually administered, and why? Which tetracyclines are the exception?
Is usually given IV or IM
Oral absorption and bioavailability is low, ESPECIALLY in horses and ruminants
SHOULD NOT be given to ruminants… can suppress ruminal microflora
Oral absorption is further lowered by food due to chelating nature of the med
EXCEPTION!!!!
Doxycycline and minocycline
Are more lipid soluble; absorb in the small intestine and reach effective blood conc. within 2-4 hrs
Easily absorbed into tissues and bodily fluids
CAN penetrate the BBB and get into CSF
Can also cross placenta and be secreted in milk, so milk-producing patients need to have a withdrawal period before selling products again
How are chlortetracyclines and oxytetracyclines metabolized in the body? What does this mean in terms of dosing?
Metabolism is MINIMAL
Excreted unchanged in urine (mostly) and bile
Undergo SOME enterohepatic recirculation (concentrated in liver and excreted in bile, some reabsorbed from there)
Increases the half life → PO administration q 8-12 hrs
How are doxycyclines and minocyclines metabolized and excreted from the body? What does this mean in terms of dosing?
Are more lipid soluble and have good absorption after oral administration… calls for less frequent dosing
q 12-24 hrs
Minocycline: some metabolism and excreted in bile / feces
Doxycycline: NO RENAL EXCRETION
Good for patients with renal impairment
Eliminated mainly through feces
Which classes of tetracyclines should not be given to HORSES, and why?
Doxycyclines and Minocyclines
Enter the intestine via bile and direct diffusion; may cause severe problems in horses
PO → severe diarrhea - broad spectrum, so can get rid of good gut flora
Rapid IV inj → hypotension → sudden collapse
Tetracyclines can chelate calcium, which can cause a rapid drop in available calcium that the heart needs to beat
Can be mitigated by slow IV injection
Slow constant IV infusion of DOXY → cardiovascular issues
Tachycardia, arrhythmia, systemic arterial hypertension
All leads to collapse and death in the horse
What are some things you could see in cases of tetracycline toxicity? (hint: some have already been covered)
GI disturbances and broad-spectrum suppression of ruminant intestinal flora
Can lead to super-infection with resistant bacteria (and fungi and yeasts), and stasis
In horses (after oral administration) - severe and sometimes fatal diarrhoea
Idiosyncratic liver damage in some animals if there is renal impairment
Renal tubular damage (storage)
Occasional sudden collapse when given rapidly via IV
Give very slowly, > 5 min or pretreat with calcium gloconate, due to chelation of ionised calcium
Tetracyclines chelate Ca2+ ions → they are irreversibly deposited at active sites of ossification in the growing bones and in teeth (dentin and enamel of unerupted teeth)
Photosensitivity
Hepatotoxic due to large doses, especially in pregnant animals
What are 6 main clinical benefits to utilizing tetracyclines?
1) Broad spectrum (aerobic / anaerobic, G+ / G-, local / systemic)
2) Low cost
3) Easy administration
4) Treats unknown causative microorganisms
Due to broad spectrum nature, if you are unable to narrow down the exact bacteria causing an infection, tetracyclines are a good umbrella treatment
5) Useful in mixed bacterial infections
6) Dox and Min → anti-inflammatory properties
What are the 5 indications of use for tetracyclines in cattle?
Respiratory infections in calves
Bovine pneumonia (in feedlots; in feed)
Anaplasmosis
Infectious keratoconjunctivitis
Parenteral administration for serious udder infection
What are the 4 indications of use for tetracyclines in sheep?
Q fever (Brucella)
enzootic abortion (Chlamydophilla abortus)
prevents Pasteurella haemolytica pneumonia
Can also be given with streptomycin for Brucella ovis.
What are the indications of use for tetracyclines in pigs?
Prevent and treat atrophic rhinitis and lower respiratory tract disease,
eradicate leptospirosis.
What are the 4 indications of use for tetracyclines in cats and dogs?
Urinary tract infections
Ehrlichia canis, Rickettsia rickettsii infections
Otitis externa
Chlamydial infection in cats: upper respiratory tract and conjunctiva
What are the indications of use for tetracyclines in poultry?
Prevention and treatment of enteric and respiratory infection
Largely administered in feed
Describe the structure of macrolides… what 3 different classifications come from the different variations of this structure?
Macro = large macrocyclic lactone
Classifications are according to the size of the macrocyclic lactone ring
14 membered ring → Erythromycin
15 membered ring →
