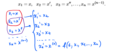
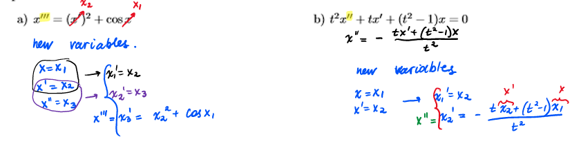
7.1 Linear systems of differential equations

0.0(0)
studied byStudied by 0 people
0.0(0)
full-widthCall Kai
learnLearn
examPractice Test
spaced repetitionSpaced Repetition
heart puzzleMatch
flashcardsFlashcards
GameKnowt Play
Card Sorting

1/3

encourage image

There's no tags or description

Looks like no tags are added yet.

Study Analytics
Name
Mastery
Learn
Test
Matching
Spaced

No study sessions yet.

4 Terms

1
New cards
term image
knowt flashcard image
2
New cards
term image
knowt flashcard image
3
New cards
<p>When is a system of n first order linear equations homogenous vs nonhomogenous?</p>

When is a system of n first order linear equations homogenous vs nonhomogenous?

knowt flashcard image
4
New cards
term image
knowt flashcard image

Explore top flashcards