Chapter 12: Oxidation-Reduction Reactions

  • Oxidation-reduction reactions (redox) occur when electrons are transferred from one atom to another
  • Oxidation is a loss of electrons
  • Reduction is the gain of electrons
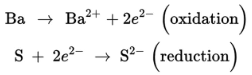
  • When barium reacts with sulfur, the following reaction occurs:

   

  • The barium loses the two valence electrons and is oxidized. The sulfur gains the electrons and is reduced.
  • The same reaction can be written as two half-reactions to show each oxidation and reduction steps

   

Oxidation Numbers

Determining Oxidation Numbers

  • To find if an element has transferred electrons, the oxidation number (or oxidation state) is calculated
  • Oxidation Rule Hierarchy
  1. The oxidation numbers of all atoms add up to the charge of the atom
  2. Oxidation number for alkali metals is +1, alkaline earth metal charge is +2, and metals in group IIIA is +3
  3. Hydrogen oxidation is +1, fluorine is -1
  4. Oxygen is -2
  5. Halogens are -1
  6. Group VIA is -2
  • Rule 1 is most important and rule 6 is least important. If two rules conflict, the higher one is obeyed
  • Examples
      * For CaCl2
        * According to rule 2, calcium is +2. According to rule 5, each chlorine is -1. Most importantly, rule 1 indicates the oxidation state of this compound MUST be zero since the charge is zero.
        * Adding up the charges: (+2) + 2(-1) = 0
      * For KOH
        * Rule 2 states potassium is +1. Rule 4 states oxygen is -2. Rule 3 state hydrogen is +1. Rule 1 is followed when adding up the charges:
        * (+1) + (-2) + (+1) = 0
  • Rule 1 can be written as an equation
      * Total charge = (ox. no. 1)(subscript 1) + (ox. no. 2)(subscipt 2) + …
  • Example
      * For HClO4
        * hydrogen is +1, chlorine is -1, -2 for each oxygen. However, this disobeys rule 1 because these would add up to -8 when it needs to be zero, so rule 5 is ignored
        * 0 charge = (ox.no. H)(1) + (ox.no. Cl)(1) + (ox.no. O)(4)
          * 0 = (+1)(1) + (ox.no. Cl)(1) + (-2)(4)
          * ox.no. Cl = +7

Using Oxidation Numbers

  • The change in oxidation states determines how many, or if, an exchange if electrons has occurred
  • When permanganate reacts in an acid solution to form Mn+2, the oxidation number of manganese is +7 in the permanganate ion. This shows a redox reaction has taken place. More specifically, it has been reduced by gaining 5 electrons

Balancing Redox Reactions

  • Ion-electron method for balancing reactions. step 1-6 are for acid solutions (H+). Step 7 is adding only if the reaction occurs in basic solution (OH-) or H+ appears on one side and OH- on the other:
  1. Write two half-reactions, one for ox and the other for reduc
  2. Balance all atoms in the half-reactions except for H and O
  3. Balance oxygen in half reaction by adding one H2O for each oxygen needed.
  4. Balance hydrogen by adding H+
  5. Balance the charges by adding the proper numbers of electrons. Electrons should be added to left side on one half reactions and the right side on the other half reaction
  6. Multiply each half reaction so they each have the same number of electrons. Add the half reactinos to electrons cancel out, also common ion cancels out. Simplify coefficients
  7. Add one OH- for each H+ ion to both sides of the equation in step 6. Combine H+ and OH- to H2O and cancel molecules on both sides and simplify if possible
  • For the reaction I- + IO3- → I2
  1. I- → I2 and IO3- → I2
  2. 2I- → I2 and 2 IO3- → I2
  3. 2I- → I2 and 2 IO3- → I2 + 6 H2O
  4. 2I- → I2 and 12H+ + 2 I-3 → I2 + 6 H2O
  5. 2I- → I2 + 2e- and 10e- + 12H+ + 2 IO3- → I2 + 6 H2O
  6. 10 I- → 5 I2 + 10e- and 10e- + 12 H+ + 2 IO3- → I2 + 6 H2O
  7. Adding equations: 10 I- + 10e- + 12 H+ + 2 IO3- → 5 I2 + 10e- + I2 + 6 H20
  8. Canceling out: 5 I- + 6 H+ + IO3- → 3 I2 + 3H2O

Common Redox Reaction

Single Replacement (Displacement) Reactions

  • Single replacement is when an atom in a compound replaces another atom and produced another element and a new compound
      * Zn + 2 HCl → ZnCl2 + H2
  • Active metals can react with water in single-displacement reactions
      * Li, Na, K, Rb, Cs, Ca, Sr, Ba
  • Active metals that do not react with water but will react with acid in single-replacement
      * Mg, Zn, Pb, Ni, Al, Ti, Cr, Fe, Cd, Sn, Co
  • Inactive metals do not undergo simple single-replacement with water or acid
      * Ag, Pt, Au, Cu
  • Activity series lists metals in order of strengths to cause redox reactions

Electrochemistry

  • Redox reactions that would not normally occur but can occur by adding electricity in an electrolytic cell
  • Spontaneous redox reactions that occur without added energy create a flow of electrons in galvanic cells

Electrolysis

  • Electrolysis experiments would not normally occur but add two electrodes in electrically conductive sample and the voltage is adjusted until the electrons flow from electrodes
  • One electrode is the cathode, where the electrons are supplied
  • The anode electrode causes oxidation reactions to occur

Quantitative Electrochemistry

  • Faraday’s constant (F) is usede to convert 1 mole e- to coulombs
      * 1 mole e- = 96,485 coulombs
  • moles of e- = It / F
      * I is coulombs per second
      * Time is units of seconds
      * Faraday’s constant

Galvanic Cells

  • Voltimeter readings in galvanic cells are called the standard cell voltage, E°cell, or the electromotive force, emf, or F
  • A thermodynamically favored reaction will give a positive voltage reading. If a reaction is not thermodynamically favored, the reaction can be reversed to make it favorable
Standard Reduction Potentials
  • E°cell = E°cathode - E°anode
      * E°cathode is standard reduction potential for the reaction occurring at the cathode and represent tendency to remove electrons from the electrode surface
      * E°anode is standard reduction potential for the reaction occurring at the anode and represent tendency to remove electrons from the anode
Standard Cell Voltage and Equilibrium
  • E°cell = (.0591 / n)(log Keq)
      * n is total number electrons transferred in redox reactions
      * combining anode and cathode quotient get equilibrium constant, Keq
Free Energy Change, ΔG°, and Standard Cell Voltages
  • ΔG° = -nF(E°cell)
      * F is faraday’s constant

Important Redox Reactions

Combustion Reaction

  • When organic compounds react with oxygen can cause combustion which produced carbon dioxide and water
      * C6H12O6 + 6 O2 → 6 CO2 + 6 H2O

Oxidation of Metals

  • Magnesium burns bright white in oxygen. Often in fireworks
  • Steel wool burns in a flame
  • Aluminum is considered highly combustible. However, aluminum oxide formed produces impervious coating so complete oxidation does not occur
  • Iron and steel react poorly. Rust requires water to occur.