1.3 Coordinate Geometry

0.0(0)
studied byStudied by 4 people
0.0(0)
full-widthCall Kai
learnLearn
examPractice Test
spaced repetitionSpaced Repetition
heart puzzleMatch
flashcardsFlashcards
GameKnowt Play
Card Sorting

1/21

flashcard set

Earn XP

Description and Tags

[ PURE 1 ] 1) Coordinate Geometry 2) Circles 3) Equation of a circle

Study Analytics
Name
Mastery
Learn
Test
Matching
Spaced
Call with Kai

No study sessions yet.

22 Terms

1
New cards
What is the equation of a straight line?

(slope intercept form)
y = mx + c
2
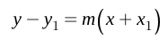
New cards
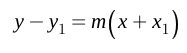
What is the equation of a straight line?

(point slope form)
knowt flashcard image
3
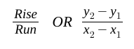
New cards
What is the formula to find the gradient
knowt flashcard image
4
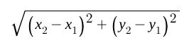
New cards
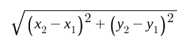
What is the formula to find the distance between two points
knowt flashcard image
5
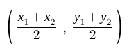
New cards
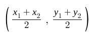
What is the formula for the Midpoint of a line
knowt flashcard image
6
New cards
What do parallel lines have in common
knowt flashcard image
7
New cards
What do perpendicular lines have in common
knowt flashcard image
8
New cards
How do you find the Coordinate B
How do you find the Coordinate B

1. To find the coordinate of D, find the equations of the lines CD & AD
2. Solve both equations simultaneously by equating them
3. Substitute x value to find the y coordinate
9
New cards
How to find the Area of a shape if the following coordinates are given :-

A= (0,3) B= (-2,5) C= (5,7) D= (0,-1)
* If the shape has 4 vertices, take 5


* The answer will always be positive
* If the shape has 4 vertices, take 5


* The answer will always be positive
10
New cards
In a circle, Diameter is equal to _____
In a circle, Diameter is equal to _____
Radius x 2
11
New cards
In a circle, Radius is equal to _____
In a circle, Radius is equal to _____
Diameter/2
12
New cards
Centre is equal to _____
Centre is equal to _____
Midpoint
Midpoint
13
New cards
Diameter is equal to _____
Diameter is equal to _____
Distance between two points (A & B)
Distance between two points (A & B)
14
New cards
Radius and the tangent are _____
Radius and the tangent are _____
Perpendicular (They form a 90 degree angle)
Perpendicular (They form a 90 degree angle)
15
New cards
Equation of tangent to a circle is _____
knowt flashcard image
16
New cards
When two chords from the diameter touch the circumference…
When two chords from the diameter touch the circumference…
The angle is 90 degrees, thus they are perpendicular
The angle is 90 degrees, thus they are perpendicular
17
New cards
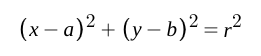
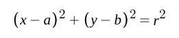
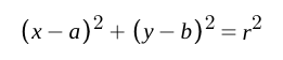
What is the equation of a circle?
knowt flashcard image
18
New cards
What is the center
What is the center
Centre = (a,b)

P.S REMEMBER TO CHANGE THE SIGNS

\+ → --

\-- → +
19
New cards
What is “r”
What is “r”
Radius
20
New cards
Write the equation of the circle
Write the equation of the circle
(x-2)^2 + (y-3)^2 = 4^2

(x-2)^2 + (y-3)^2 = 16
(x-2)^2 + (y-3)^2 = 4^2

(x-2)^2 + (y-3)^2 = 16
21
New cards
Find the Centre and Radius
Find the Centre and Radius
Hint : take 2 as common
Hint : take 2 as common
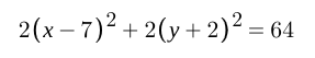
22
New cards
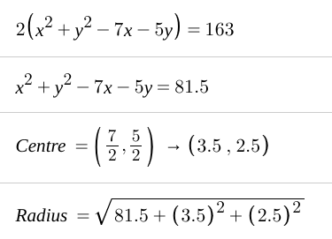
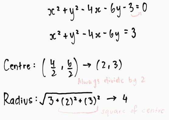
Find the Centre and Radius
Find the Centre and Radius
Hint : take 2 as common
Hint : take 2 as common