1/17
Looks like no tags are added yet.
Name | Mastery | Learn | Test | Matching | Spaced | Call with Kai |
|---|
No analytics yet
Send a link to your students to track their progress

How to find limit of vector function
Limit of each equation. Apply L’hops rule if necessary. Answer should be in vector equation form
Velocity vector
r’(t)
Acceleration vector
r’’(t)
Speed
|v(t)|d
Direction
v(t)/|v(t)|
How to find the parametric equation of the line tangent to curve?
Find position r(t). Find direction vector r’(t). Form equation where scalars are r(t) and vectors are r’(t)














∫ u dv =
uv-∫v du
Tabular method for integration by parts
Set up two columns: u and dv.
Derive the first column, integrate the second column till u becomes 0.
Connect the term diagonally with alternating signs.
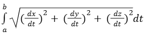
Arc length with three components

Unit tangent vector
velocity/magnitude of velocity

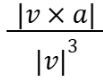
Curvature (k)
Magnitude of Cross product of velocity and acceleration/magnitude of velocity cubed
