Fizyka kinetyka relatywistyczna

0.0(0)
studied byStudied by 2 people
0.0(0)
full-widthCall Kai
learnLearn
examPractice Test
spaced repetitionSpaced Repetition
heart puzzleMatch
flashcardsFlashcards
GameKnowt Play
Card Sorting

1/19

flashcard set

Earn XP

Description and Tags

Study Analytics
Name
Mastery
Learn
Test
Matching
Spaced

No study sessions yet.

20 Terms

1
New cards
__Doświadczenie Michelsona-Morleya__
doświadczenie mające na celu wykazanie ruchu ziemi względem hipotecznego eteru poprzez porównanie prędkości światła w różnych kierunkach względem kierunku ruchu ziemi
doświadczenie mające na celu wykazanie ruchu ziemi względem hipotecznego eteru poprzez porównanie prędkości światła w różnych kierunkach względem kierunku ruchu ziemi
2
New cards
__Interferencja__
zjawisko powstawania nowego, przestrzennego rozkładu amplitudy fali w wyniku nakładania się dwóch lub więcej fal. Warunkiem trwałej interferencji fal jest ich spójność, czyli korelacja fal i równość częstotliwości.
3
New cards
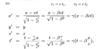
Transformacja Lorentza, przekształcenie Lorentza
przekształcenie liniowe przestrzeni Minkowskiego umożliwiające obliczenie wielkości fizycznych w poruszającym się układzie odniesienia, jeśli wielkości te znane są w danym układzie.
przekształcenie liniowe przestrzeni Minkowskiego umożliwiające obliczenie wielkości fizycznych w poruszającym się układzie odniesienia, jeśli wielkości te znane są w danym układzie.
4
New cards
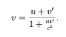
relatywistyczne składanie prędkości
gdzie c jest prędkością światła,

 u oznacza prędkość pomiędzy dwoma układami odniesienia w których mierzymy prędkości danego obiektu,

natomiast v oraz v′ są prędkościami tego obiektu mierzonymi w tych dwóch układach.
gdzie c jest prędkością światła,

 u oznacza prędkość pomiędzy dwoma układami odniesienia w których mierzymy prędkości danego obiektu,

natomiast v oraz v′ są prędkościami tego obiektu mierzonymi w tych dwóch układach.
5
New cards
efekt aberracji gwiezdnej - efektem Bradleya.
Zjawisko aberracji światła jest konsekwencją ruchu Ziemi i skończonej prędkości światła. Rozróżnia się aberrację: dobową (wynikającą z ruchu obrotowego Ziemi), roczną (spowodowaną ruchem orbitalnym Ziemi) i wiekową (spowodowaną ruchem Układu Słonecznego).
Zjawisko aberracji światła jest konsekwencją ruchu Ziemi i skończonej prędkości światła. Rozróżnia się aberrację: dobową (wynikającą z ruchu obrotowego Ziemi), roczną (spowodowaną ruchem orbitalnym Ziemi) i wiekową (spowodowaną ruchem Układu Słonecznego).
6
New cards
efekt kontrakcji długości
długość liniowa ciała jest największa w układzie, w którym ciało spoczywa. Ulega skróceniu, w kierunku ruchu, w układzie poruszającym się względem tego układu.
7
New cards
efekt dylatacji czasu
to zjawisko polegające na tym, że czas w układzie poruszającym się płynie wolniej.
to zjawisko polegające na tym, że czas w układzie poruszającym się płynie wolniej.
8
New cards
efekt Dopplera
polega na powstawaniu różnicy pomiędzy długością fal wysyłanych przez źródło, a rejestrowanych przez obserwatora w przypadkach, gdy albo źródło fal znajduje się w ruchu albo obserwator zbliża się lub oddala względem nieruchomego źródła. Efekt Dopplera dotyczy wszystkich rodzajów fal.
9
New cards
Diagramy Minkowskiego
– geometryczne ilustracja czasoprzestrzeni. Na tym diagramie współrzędnymi są odległość przestrzenna i czas. Możliwe jest określenie zdarzeń równoczesnych, stożka przyczynowości i rozgraniczenie zdarzeń na przeszłe i przyszłe.
10
New cards
Pęd relatywistyczny
jest zdefiniowany w taki sposób, że zasada zachowania pędu obowiązuje we wszystkich układach inercjalnych, w których zewnętrzna siła wypadkowa wynosi zero.
jest zdefiniowany w taki sposób, że zasada zachowania pędu obowiązuje we wszystkich układach inercjalnych, w których zewnętrzna siła wypadkowa wynosi zero.
11
New cards
Relatywistyczny moment pędu.
knowt flashcard image
12
New cards
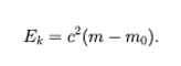
Relatywistyczna energia kinetyczna.
knowt flashcard image
13
New cards
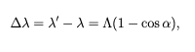
Opis efektu Comptona
Odkrył, że w rozproszonym promieniowaniu obok promieniowania o częstotliwości padającej wiązki znajduje się także promieniowanie o nieco niższej częstotliwości, co wskazuje na częściową utratę energii padającego światła.
Odkrył, że w rozproszonym promieniowaniu obok promieniowania o częstotliwości padającej wiązki znajduje się także promieniowanie o nieco niższej częstotliwości, co wskazuje na częściową utratę energii padającego światła.
14
New cards
Prawo stokesa
knowt flashcard image
15
New cards
Siła bezwładności w ruchu postępowym.
Obserwator nieinercjalny odczuje działanie siły bezwładności równej iloczynowi masy ciała i przyspieszenia układu. Niezależnie od tego, w którą stronę porusza się układ, siła bezwładności będzie zawsze skierowana przeciwnie niż przyspieszenie układu.
Obserwator nieinercjalny odczuje działanie siły bezwładności równej iloczynowi masy ciała i przyspieszenia układu. Niezależnie od tego, w którą stronę porusza się układ, siła bezwładności będzie zawsze skierowana przeciwnie niż przyspieszenie układu.
16
New cards
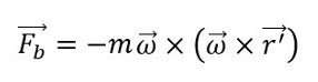
Siła odśrodkowa
knowt flashcard image
17
New cards
Siła Coriolisa
knowt flashcard image
18
New cards
Siła styczna
knowt flashcard image
19
New cards
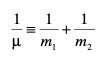
Masa zredukowana
knowt flashcard image
20
New cards
III zasada dynamiki (zasada akcji i reakcji)
jeżeli ciało A działa siłą na ciało B, to ciało B działa na ciało A siłą równą co do wartości, mającą ten sam kierunek, lecz przeciwny zwrot