1/8
Looks like no tags are added yet.
Name | Mastery | Learn | Test | Matching | Spaced | Call with Kai |
|---|
No analytics yet
Send a link to your students to track their progress
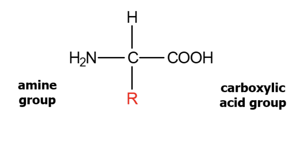
give the general structure of an amino acid and name the groups bonded to it:
R group

how may an amino acid exhibit chirality?
if the R group is anything other than the groups bonded to the central C atom (i.e. except glycine which has a H atom R group)

if an amino acid is chiral, how many enantiomers usually occur?
1

what is a zwitterion?
compound w/ no overall electrical charge, but which contains separate parts which are +vely and -vely charged
give the structure of an amino acid at neutral pH:

give the structure of an amino acid at low pH:

give the structure of an amino acid at high pH:


draw the structure of the amino acid shown at pH 13:
