1/15
Looks like no tags are added yet.
Name | Mastery | Learn | Test | Matching | Spaced | Call with Kai |
|---|
No analytics yet
Send a link to your students to track their progress
Materials Provided
LB-AMP plates
S.O.C media
42ºC water bath
37ºC shaking water bath
sterile glass beads
pUC plasmid
Step 1
Pre-heat an LB-AMP plate at 37ºC for 1 hour
pre-heating and drying the plate allows media spread onto to soak in faster
Step 2
Thaw an appropriate number of 100µl competent cells aliquots on ice
Step 3
Once the cells have just thawed completely, add DNA (up to 5µl of a standard ligation reaction)
Step 4
Incubate cells on ice for 30 mins
Step 5
Heat shock the cells in 42ºC water bath for exactly 30 secs
Step 6
IMMEDIATELY incubate on ice for 5 min
Step 7
Add 900µl room temp S. O. C media to each transformation and incubate at 37ºC for 45 min in the shaking water bath
Step 8
spin transformations at 13 000 rpm for 1 minute to pellet the bacteria
remove the 900µl of supernatant for disposal
resuspend the bacteria in the remaining media and pipette onto LB-AMP plate
Step 9
Add sterile glass beads to each plate and replace the cover
shake the plate to distribute the cells onto the enitre surface
dump the beads into the provided beaker when finished
Step 10
Incubate the plates face-down overnight at 37ºC
the plates and then stored at 4ºC
Theory
Transformation Efficiency
the relative ability of a bacterial cell preparation to take up external DNA
in order to compare the ability of one lot of cells to another prepared in a diff way, or at a diff time or place, some standard measure of transformation efficiency had to be established
the standard is the number of colony forming units (CFU) that are generated from an aliquot of cells in a transformation of 1µg of the pUC19 plasmid
good transformation efficiency can be up to 1 × 109 CFU/µg of pUC19, but typical numbers are between 1 × 106 - 1 × 108
Counting Colonies in the lab
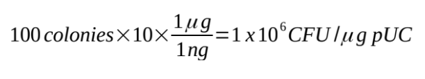
since counting 1 × 106 - 1 × 108 colonies is impractical, we transform with a much smaller mass of pUC19 and plate only a fraction of the resulting transformation (e.g. 1/10)
in this figure, if the plating gave rise to 100 colonies, we would calculate the transformation efficiency to be…

Importance of Testing Transformation Efficency
if you don’t generate any colonies from transformation with plasmid of interest, determining the transformation efficiency will help establish if the problem lies with your cells/ protocol or with your plasmid
Chemical Competence
E. coli resuspension in CaCl2 solution at 0ºC
under these conditions the Ca2+ is thought to create pores in the membrane, assist binding of the DNA to the cell membrane
the DNA is forced into the cells by applying a 42ºC heat shock, which results in a thermal current that sweeps DNA into the cells
during the incubation at 37ºC, those bacteria which have survived and taken up the plasmid will be beginning to express the protein required to generate antibiotic resistance (in this case, a β-lactamase enabling them to survive on the selection media)