1/12
Looks like no tags are added yet.
Name | Mastery | Learn | Test | Matching | Spaced | Call with Kai |
|---|
No analytics yet
Send a link to your students to track their progress
Hydrogenation of alkenes

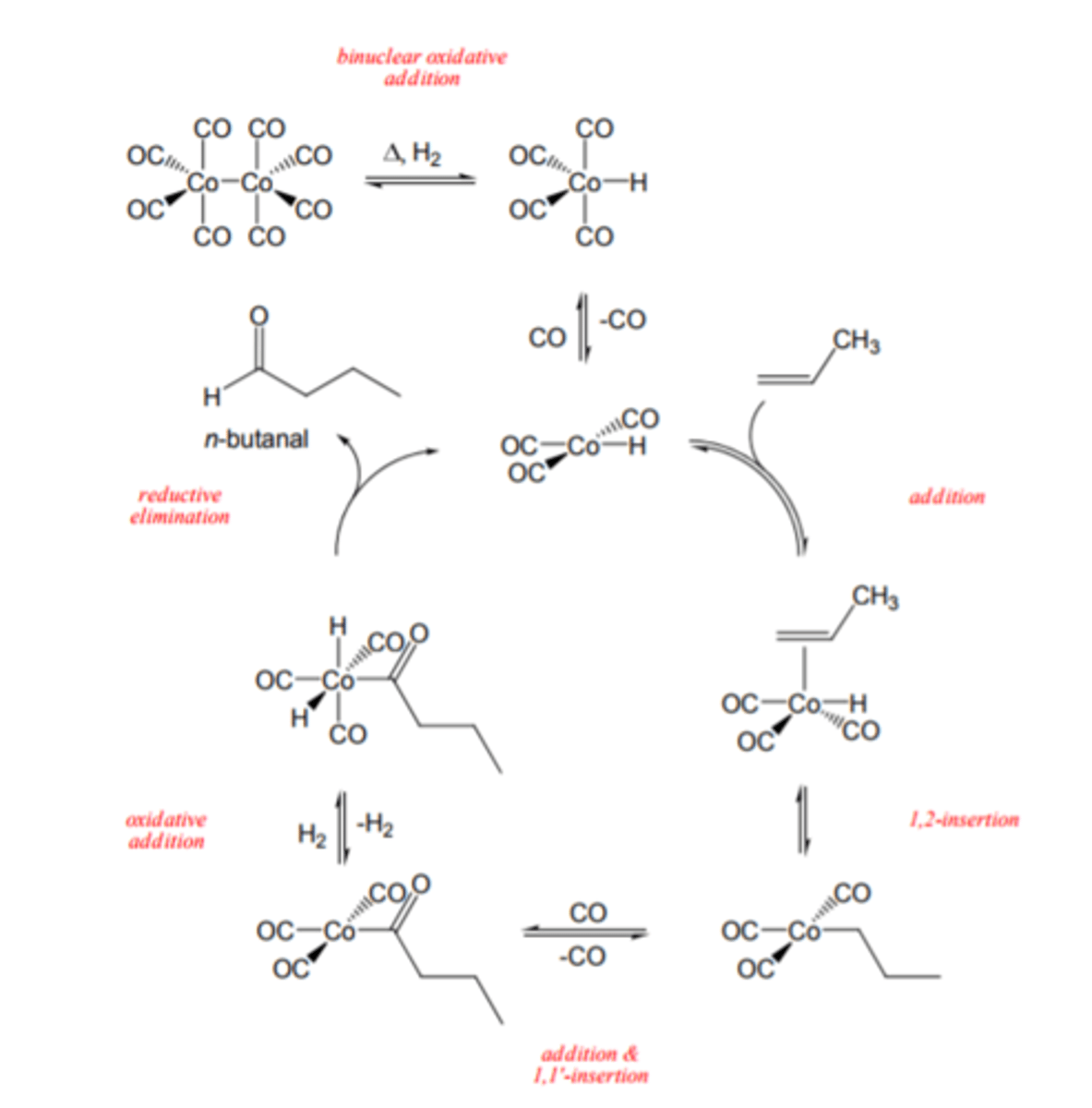
Hydroformylation

Noyori Asymmetric Hydrogenation

Hydride Transfer
HRu(PPh3)4
Reduction of carbonyl to alcohol
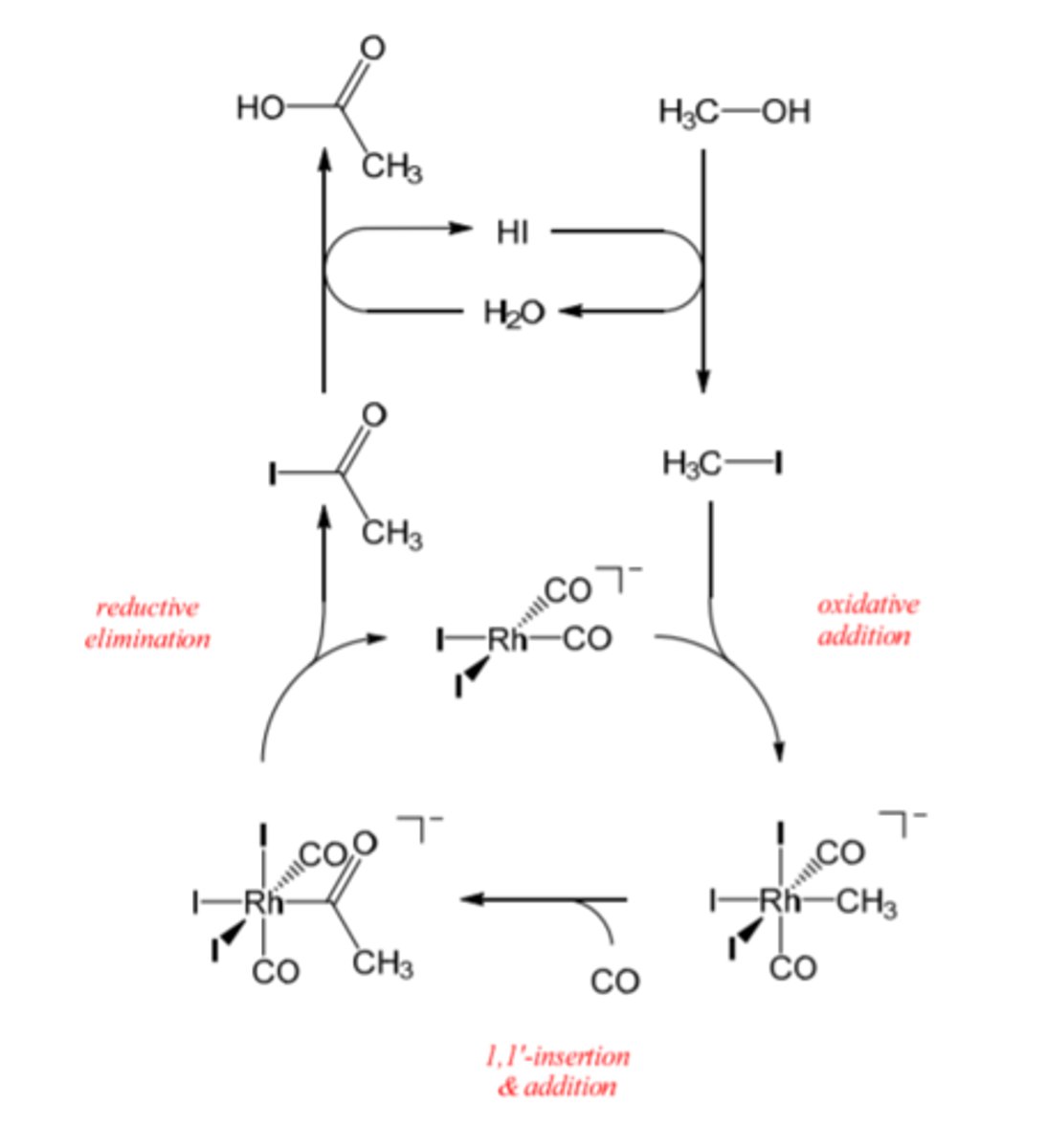
Monsanto process

Suzuki Reaction

Stille Coupling
Alkyl halide and RSn --> Alkyl-R
Pd catalyst
Sonogashira Coupling

Buchwald-Hartwig Cross Coupling Reaction

Dupont Hydrocyanation
Add CN to alkene
Ni catalyst
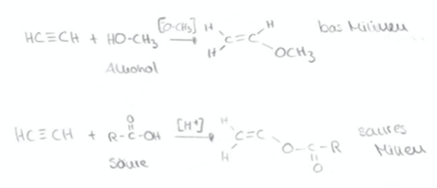
Reppe carbonylation
Alkyne + CO + Ni catalyst --> unsaturated acid

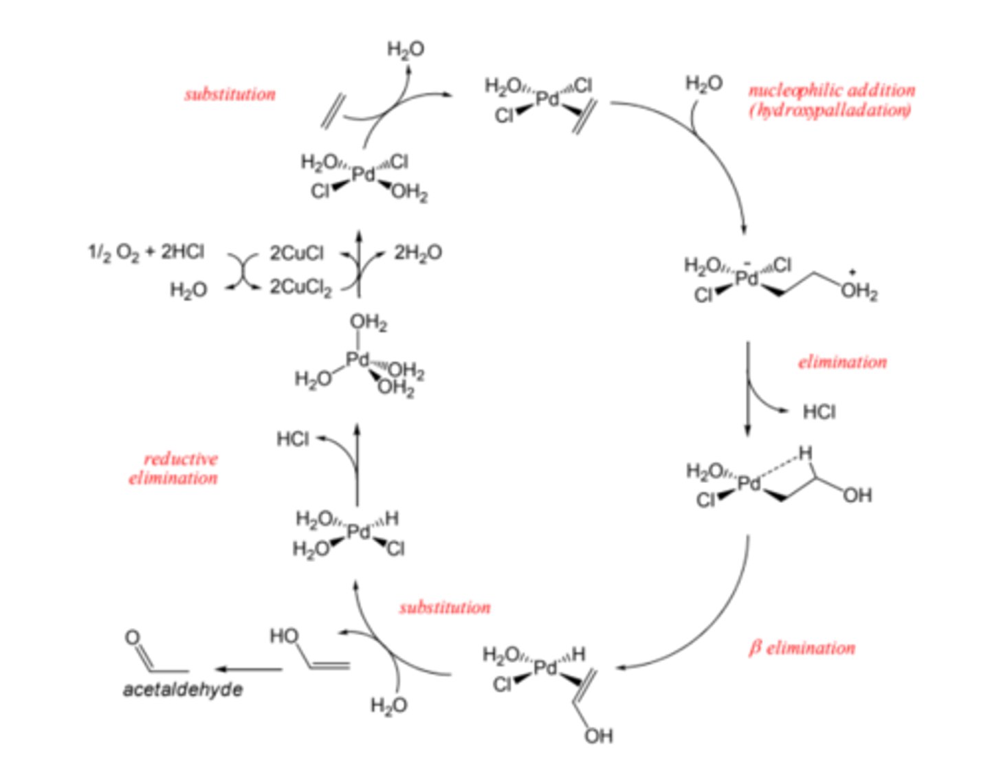
Wacker Oxidation

Heck Reaction
