1/26
Looks like no tags are added yet.
Name | Mastery | Learn | Test | Matching | Spaced | Call with Kai |
|---|
No analytics yet
Send a link to your students to track their progress
find value of k in y= k(x-2)(x-4)
-substitute in values of x and y from graph
derivative of 2^x
(ln2)(2^x)
find quadratic equation lonking H with x
H= a(x+b)(x+c)
proof by contradiction
a rational number is a number in the form a/b where a and b are integers with no common factors (a/b is in its simplest form)
arithmetic equations
Un = a + (n-1)d
sum: n/2(2a+ (n-1)d)
n/2(a+L)
proving arithmatic sequence sum….
a + (a+d) + (a+2d)…a+(n-1)d
reverse: a+ (n-1)d + a+(2d) + a+d +a
2sum :ADD TOGETHER: 2a + (n-1)d
sum:
geometric sequene equation
un= a x r^n-1
a(1-r^n)/1-r
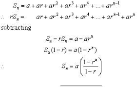
proving sum of geometric sequence
Sn: a + ar + ar²…+ar^n-1
multiply by r: ar + ar²…+ar^n
subtract both equation: a+ar^n = a(1+r^n)
Sn(1-r) = a(1-r^n)

convergent geometric series equation (sum to infinity)
a/1-r
convergent if r<1
inequality set notation
{x:x<5}U{x:x>10}
area of segment
1/2r²x - r²sinx
x is angle
area of sector
1/2r² x angle
only applies when angle is in radians, not degrees
arc sector length
angle x radius
sine rule
a/sin(A) = b/sin(B) = c/sin(C)
cosine rule
a²=b²+c² -2bcsin(a)
cast diagrams
cos all sin tan
Area of a rhombus
Cross section x cross section /2
Prove using vectors that a shape is a trapezium
Has 2 parallel lines so vectors will be factors of each other
3D vectors: find angle that vector a=2i-3j-k makes with +ve x axis
cosX = x/ magnitude of a
magnitude of a is hypotenuse
binomial expansion formula for (1+x)^n
1+nx+ n(n-1)/2! (x²) +n(n-1)(n-1)/3!(x³)
if its (4+x)^n, factor our 4 to make it 4^n(1+1/4x)
-expansion valid if [x]<1
-or [x]<4
x should be as close as possible to 0
exponential graph

Trig modelling- find time for one complete revolution
Find consecutive times that tourist is at certain height, e.g. H=0, pi, 3pi
prove that square of any natural number is a multiple of 3 or 1 more than a multiple of 3
natural number can be expressed as 3k, 3k+1, 3k+2
exponential model equation
y=Ae^kx
OR y=a.b^x
model is reliable if value of y~ their value (approximately equal)
cylinder: volume and surface are
pi x r² x h
circumference x h + 2 pi r^ 2(top and botto. surfaces )
circumference = 2pi x r
which functions have an inverse
one-to-one
because for many-to-one functions, line intercepts curve more than once
irrational numbers
root 2, root 3