Home
Explore
Exams
Login
Get started
Home
maths
maths
0.0
(0)
Rate it
Studied by 3 people
Call Kai
Learn
Practice Test
Spaced Repetition
Match
Flashcards
Knowt Play
Card Sorting
1/9
Earn XP
Description and Tags
maths
All Modes
Learn
Practice Test
Matching
Spaced Repetition
Call with Kai
Last updated 2:46 PM on 9/30/25
Update
Name
Mastery
Learn
Test
Matching
Spaced
Call with Kai
No analytics yet
Send a link to your students to track their progress
10 Terms
View all (10)
Star these 10
1
New cards
cos^2+sin^2 =
1
2
New cards
équation d’une droite
y=ax+b
3
New cards
calcul de la pente a
Δ y / Δ x
4
New cards
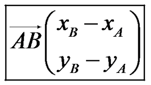
composante d’un vecteur AB
5
New cards
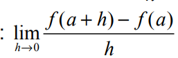
définition de la dérivé au point a
6
New cards
équation de la tangente
7
New cards
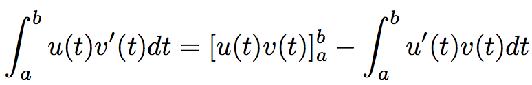
intégration par partie IPP
8
New cards
limite
9
New cards
y=a est asymptote à la courbe de f au voisinage de +∞ ou -∞
lim x→ +∞ f(x) = a (ou lim x→ -∞)
asymptote horizontale
10
New cards
x = a est asymptote à la courbe de f lorsque
lim x→ a = -∞ ou +∞
asymptote verticale
Explore top notes
Chapter 8 Photosynthesis (1)
Updated 432d ago
Note
Preview
2.1 States of Matter
Updated 1181d ago
Note
Preview
Formation of Ions
Updated 1204d ago
Note
Preview
Chapter 12: Jeffersonian Revolution (1800–1820)
Updated 1047d ago
Note
Preview
SNC2D - Final Exam
Updated 244d ago
Note
Preview
Chapter 2: Historical Perspectives
Updated 1043d ago
Note
Preview
Chapter 19: Enzymes and Vitamins
Updated 1226d ago
Note
Preview
Chapter 9: Global Change
Updated 101d ago
Note
Preview
Chapter 8 Photosynthesis (1)
Updated 432d ago
Note
Preview
2.1 States of Matter
Updated 1181d ago
Note
Preview
Formation of Ions
Updated 1204d ago
Note
Preview
Chapter 12: Jeffersonian Revolution (1800–1820)
Updated 1047d ago
Note
Preview
SNC2D - Final Exam
Updated 244d ago
Note
Preview
Chapter 2: Historical Perspectives
Updated 1043d ago
Note
Preview
Chapter 19: Enzymes and Vitamins
Updated 1226d ago
Note
Preview
Chapter 9: Global Change
Updated 101d ago
Note
Preview
Explore top flashcards
DCAP Ch 1
Updated 169d ago
Flashcards (76)
Preview
US GOV TEST - CHAPTER 16
Updated 1228d ago
Flashcards (80)
Preview
APUSH Chapter 1 giddes quiz
Updated 863d ago
Flashcards (78)
Preview
Vocabulary and Spelling 2.1 - 2.5
Updated 437d ago
Flashcards (100)
Preview
Milady Skin structure & growth
Updated 767d ago
Flashcards (44)
Preview
GYN- STIs
Updated 353d ago
Flashcards (106)
Preview
les verbes IR et RE
Updated 1005d ago
Flashcards (23)
Preview
BM Topic 1.1 (2, 3 & 4 / 4): Pri, Sec, Ter, Quar Sectors & Entrepreneurship & C/O of Starting a Business
Updated 187d ago
Flashcards (30)
Preview
DCAP Ch 1
Updated 169d ago
Flashcards (76)
Preview
US GOV TEST - CHAPTER 16
Updated 1228d ago
Flashcards (80)
Preview
APUSH Chapter 1 giddes quiz
Updated 863d ago
Flashcards (78)
Preview
Vocabulary and Spelling 2.1 - 2.5
Updated 437d ago
Flashcards (100)
Preview
Milady Skin structure & growth
Updated 767d ago
Flashcards (44)
Preview
GYN- STIs
Updated 353d ago
Flashcards (106)
Preview
les verbes IR et RE
Updated 1005d ago
Flashcards (23)
Preview
BM Topic 1.1 (2, 3 & 4 / 4): Pri, Sec, Ter, Quar Sectors & Entrepreneurship & C/O of Starting a Business
Updated 187d ago
Flashcards (30)
Preview