1/14
Looks like no tags are added yet.
Name | Mastery | Learn | Test | Matching | Spaced | Call with Kai |
|---|
No analytics yet
Send a link to your students to track their progress

What symbol is this ?
Positive and negative terminal

What symbol is this?
A single cell

What symbol is this
Battery of cells

What symbol is this?
Open switch

What symbol is this
Closed switch

What symbol is this
Lamp

What symbol is this
Resistor

What symbol is this
Variable resistor

What symbol is this
Thermistor

What symbol is this
LDR

What symbol is this
Diode

What symbol is this
LED

What symbol is this
Fuse

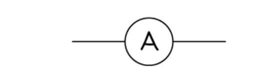
What symbol is this
Ammeter

What symbol is this
Voltmeter