Numbers 1.02/04 - SF, Percentages

call kaiCall Kai
learnLearn
examPractice Test
spaced repetitionSpaced Repetition
heart puzzleMatch
flashcardsFlashcards
Card Sorting

1/10

flashcard set

Earn XP

Description and Tags

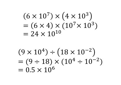
Standard Form, Percentages, Percentage change, Compound percentages, Inverse percentages

Last updated 9:16 PM on 9/21/25
Name
Mastery
Learn
Test
Matching
Spaced
Call with Kai
Add student to class section state
Add studentsNo students in these sections. Invite them to track progress!

11 Terms

1
New cards

_

2
New cards

_

3
New cards

_

4
New cards

_

5
New cards

6
New cards

7
New cards

8
New cards

9
New cards

10
New cards

11
New cards