1/47
Looks like no tags are added yet.
Name | Mastery | Learn | Test | Matching | Spaced | Call with Kai |
|---|
No analytics yet
Send a link to your students to track their progress
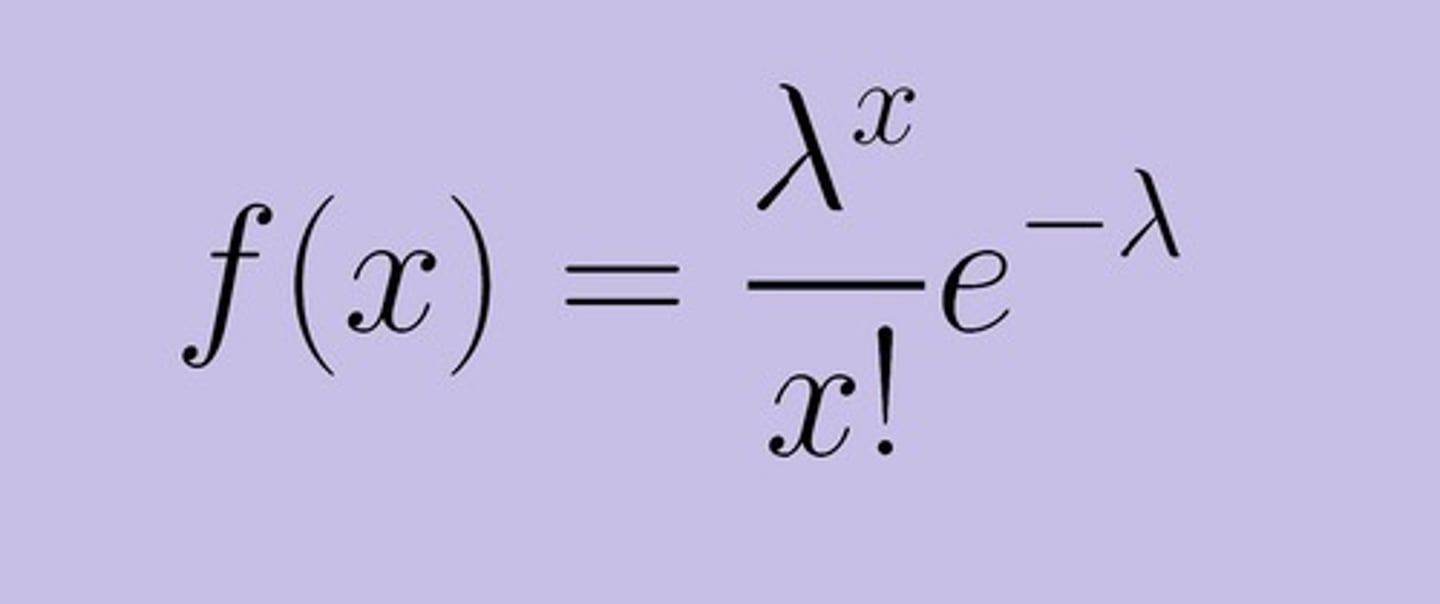
PDF for exponential distribution

CDF of exponential

Expected Value of Exponential Distribution

Variance of Exponential Distribution
1/(λ^2)
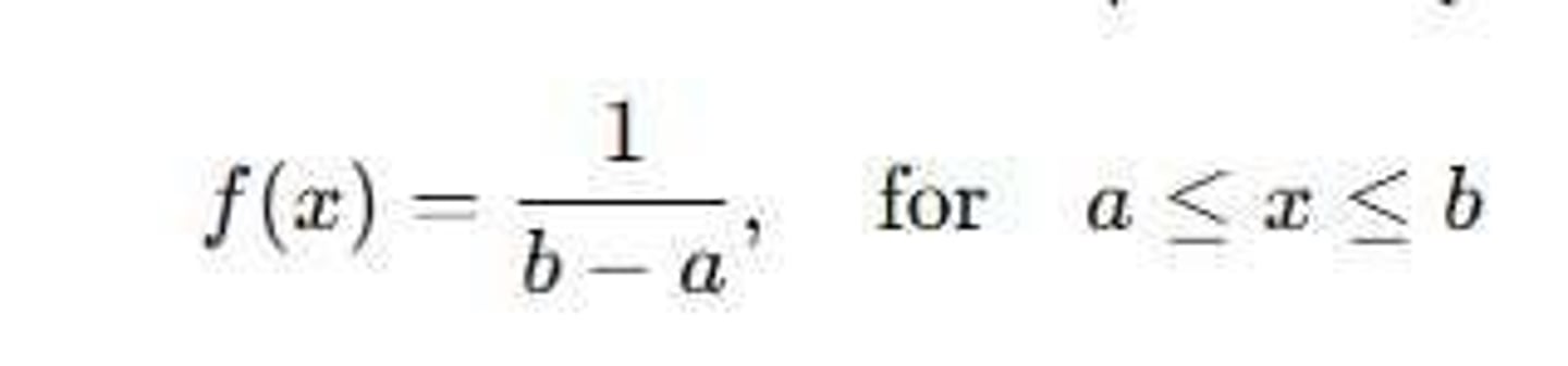
PDF of Uniform Distribution

CDF of Uniform Distribution

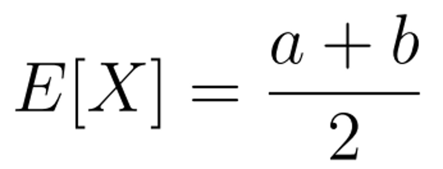
Expected Value of Uniform Distribution

Variance of Uniform Distribution

Expected Value of Normal Distribution
μ = mean (center of the curve)
Median of Normal Distribution
μ = mean (center of the curve)
What's the probability that one exponential distribution (A) is less than another (B)
P(Ta < Tb) = (λa)/(λa+λb)
Expected Value of Bernoulli
p
Expected Value of Binomial
np
Expected Value of Geometric
1/p
Expected Value of Poisson
λ
Variance of Poisson
λ
Variance of Bernoulli
p(1-p)
Variance of Bionomial
np(1-p)
Variance of Geometric
(1-p)/p^2
PMF of Bernoulli

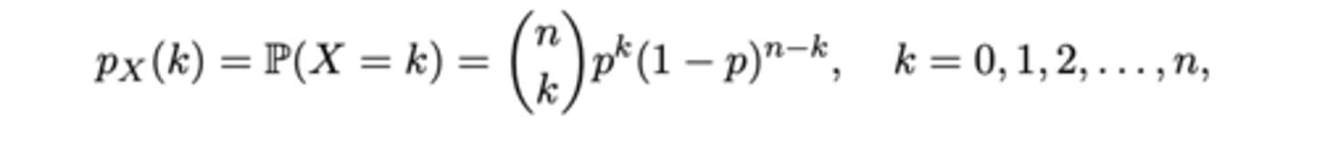
PMF of Binomial

PMF of Geometric

PMF of Poisson

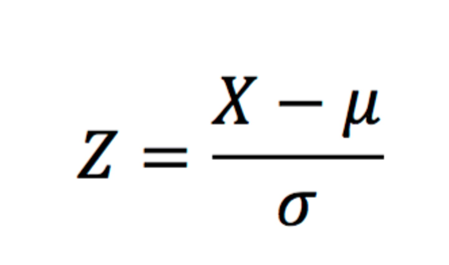
What does Z represent
How many standard deviations away X is from the mean
How to compute Z

What are the percentages of data within 1, 2, and 3 standard deviations of the mean in a standard normal distribution?
68% within ±1σ
95% within ±2σ
99.7% within ±3σ
What is CV
How spread out the data is compared to the average
CV formula
σ/μ
SCV Formula
Var(x)/(E[x]^2)
What is SCV
Shows randomness
How do you find Fy(Y) when you know Y = g(x) and Fx(X) (given g(x) is strictly increasing)

How do you find Fy(Y) when you know Y = g(x) and Fx(X) (given g(x) is strictly decreasing)
Fy(Y)=1−Fx(g−1(Y))

Formula for Cov(x,y)
E[XY] − E[X]E[Y]
Cov(x,x)
Var(x)
Cov(x,c) where c is a constant
0
Cov(x+y,z)
Cov(x,z) + Cov(y,z)
Cov(aX+b,cY+d)
acCov(X,Y)
Markov's Inequality
P(X ≥ t) ≤ E(X)/t
Chebyshev's inequality (Standard Deviation)
P(|X − μ| ≥ kσ) ≤ 1 / k²
Chebyshev's inequality
P(|X − μ| ≥ t) ≤ Var(X) / t²
What formula gives the pdf of Y = g(x) when g(x) is one-to-one and you know FX(x)?














