1/26
Looks like no tags are added yet.
Name | Mastery | Learn | Test | Matching | Spaced |
|---|
No study sessions yet.
D-Allose
RRR

D-Altrose
LRRR

D-Glucose
RLRR

D-Mannose
LLRR

D-Gulose
RRLR

D-Iodose
LRLR

D-Galactose
RLLR

D-Talose
LLLR

D-Fructose
LRR

D-Ribose
RRR

D-Arabinose
LRR

D-Xylose
RLR

D-Lyxose
LLR

D-Erythrose
RR

D-Threose
LR

D-Glyceraldehyde
R

Dihydroxyacetone

D-Erythrulose
R

D-Ribulose
RR

D-Xylulose
LR

D-Psicose
RRR

D-Sorbose
RLR

D-Tagatose
LLR

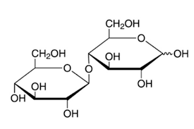
Maltose
a(1-4) Glucose-glucose

Lactose
B(1-4) Galactose-glucose

Cellobiose
B(1-4) Glucose-glucose

Sucrose
a,B(1-2) Glucose-Fructose
