1/51
Looks like no tags are added yet.
Name | Mastery | Learn | Test | Matching | Spaced | Call with Kai |
|---|
No analytics yet
Send a link to your students to track their progress
Normal Glucose-Related Lab Values: Blood Glucose (BG) Levels
variable, depending on timing
normal fasting (no food for >= 8 hours)
- BG <100 mg/dL
normal 2-hour post-Oral Glucose Tolerance Test (OGTT)
- <140 mg/dL
- oral glucose tolerance test: 75g of glucose delivered by oral solution consumed over 5 minutes
Normal Glucose-Related Lab Values: Urine Glucose Levels
normal: negative
glucose does not usually "spill" into the urine until BG >180 mg/dL, when renal threshold for renal glucose reabsorption is exceeded
Normal Glucose-Related Lab Values: CSF Glucose Levels
normal: 50-80 mg/dL (~2/3 of BG)
low CSF glucose levels
- may be associated with hypoglycemia, bacterial/fungal infection, etc.
high CSF glucose levels
- associated with hyperglycemia
Methods of Evaluating Blood Glucose Levels
laboratory blood draw
self-monitoring of blood glucose with point-of-care devices
Normal Glucose-Related Lab Values: Glycated Hemoglobin (AKA "Hemoglobin A1c (HgbA1c)")
normal HgbA1c: 4-5.6%
a red blood cell lives for approx 120 days
hemoglobin is contained in the red blood cell
glucose (sugar) enters in the bloodstream and the red blood cell
glucose naturally binds to hemoglobin
this binding creates glycated hemoglobin (HbA1c)

Normal Glucose-Related Lab Values: C-Peptide Levels
normal fasting C-Peptide: 0.78-1.89 mg/dL
Hypoglycemia: Blood Glucose (BG) Levels
<70 mg/dL
Hypoglycemia: Causes
medication
activities/disease states
Hypoglycemia: Body's Response - Epinephrine
release of counter-regulatory hormones
sympathetic nervous system activation
promotes gluconeogenesis (production of glucose by the liver from lactate, amino acids, and glycerol)
prevents tissues from storing glucose
Hypoglycemia: Body's Response - Glucagon
promotes gluconeogenesis (production of glucose from liver from lactate, amino acids, and glycerol)
promotes breakdown of stored glucose in the liver
prevents glucose from being stored as glycogen within the liver until blood glucose levels normalize
promotes breakdown of triglycerides found in fat tissue into fatty acids that can be used by the muscles for energy
Hypoglycemia: Signs and Symptoms - Mild
54-69 mg/dL
sweating
shaking
trembling
rapid heartbeat
difficulty concentrating
heavy breathing
dizziness
Hypoglycemia: Signs and Symptoms - Severe
<54 mg/dL
mental confusion
unconsciousness
seizure
Hypoglycemia: Treatment - Mild
15 grams of simple carbohydrate (fat and protein slow carb absorption and do not increase blood glucose levels quickly)
- 4 oz fruit juice or soda
- 3-4 glucose tablets
- 8-10 Life Savers candies
re-check blood glucose 15 minutes later
- if BG still <70 mg/dL: re-treat with 15 more grams of carbohydrate
- if BG is >= 70 mg/dL: consume a meal or a long-acting source of sugar (ex. crackers and cheese or a sandwich with meat)
Hypoglycemia: Treatment - Severe
unconscious or unable to swallow
administer glucagon injection follow by treatment described in mild treatment section
if still unconscious after 15 minutes
- repeat glucagon injection and call 911
Hyperglycemia
elevated blood glucose levels
Hyperglycemia: Causes
low levels of insulin production
insulin resistance:
- insulin receptor dysfunction in the muscles, fat, and liver, causing glucose to not be properly taken up from the bloodstream into these cells
medications:
- corticosteroids
- 2nd generation antipsychotics
- thiazide diuretics
- beta blockers
- etc.
Lab Values Diagnostic for PRE-Diabetes: Blood Glucose (BG) Levels
Pre-Diabetes Fasting (no good for >= 8 hours)
- BG: 100-125 mg/dL
Pre-Diabetes 2-hour post-Oral Glucose Tolerance Test (OGTT):
- 140-199 mg/dL
Lab Values Diagnostic for PRE-Diabetes: Blood Glucose (BG) Levels - Pre-Diabetes Fasting (no food for >= 8 hours)
100-125 mg/dL
Lab Values Diagnostic for PRE-Diabetes: Blood Glucose (BG) Levels - Pre-Diabetes 2-hour post-Oral Glucose Tolerance Test (OGTT)
140-199 mg/dL
Lab Values Diagnostic for PRE-Diabetes: Glycated Hemoglobin (AKA "Hemoglobin A1c (HgbA1c)") - Pre-Diabetes HgbA1c
5.7-6.4%
Slide 13: Lab Values Diagnostic for Diabetes (Table 2.1)
*In the absence of unequivocal hyperglycemia, diagnosis requires two abnormal results from different tests which may be obtained at the same time (e.g. A1C and FPG), or the same test at two different time points

Lab Values Diagnostic for Diabetes: C-Peptide Levels
help differentiate between Type 1 and Type 2 DM
C-Peptide levels are low in Type 1 DM
- low insulin production from pancreatic beta cells
C-Peptide levels are normal or high in Type 2 DM
- high C-Peptide levels result from excessive insulin production in response to insulin resistance
C-Peptide levels are ___ in Type 1 DM.
low
C-Peptide levels are _____ in Type 2 DM
normal or high
Low insulin production from _______ ________ _______ in Type I DM.
pancreatic beta cells
High C-Peptide levels result from what in Type 2 DM?
excessive insulin production in response to insulin resistance
Slide 15
*

Slide 16
*

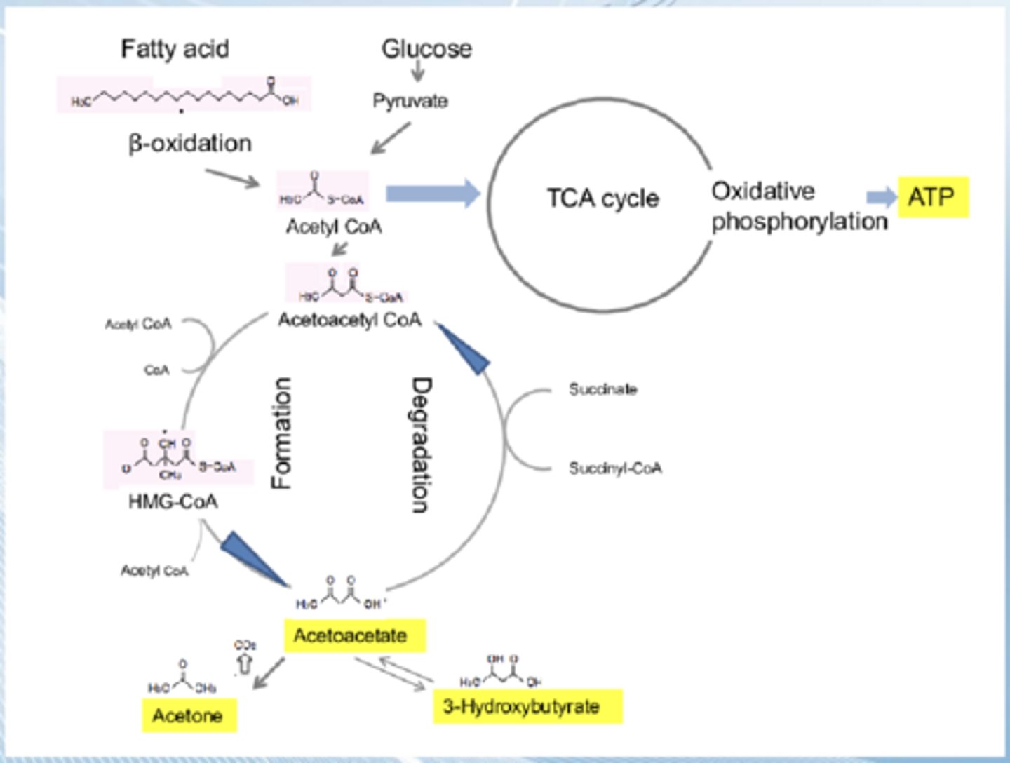
What are the products of fatty acid breakdown?
ketone bodies
Ketone Bodies
produced when glucose and glycogen stores are depleted leading to fatty acids being broken down in the liver
Ketone Bodies: Serum Ketones - Normal Range
<0.6 mmol/L
Ketone Bodies: Serum Ketones - Slightly High
0.6-1.0 mmol/L
Ketone Bodies: Serum Ketones - Moderately High
1.0-3.0 mmol/L
Ketone Bodies: Serum Ketones - Very High
>3.0 mmol/L
Ketone Bodies: Urine Ketones - Normal
negative
Ketone Bodies: Urine Ketones - Positive (Trace)
5 mg/dL
Ketone Bodies: Urine Ketones - Positive (Small)
15 mg/dL
Ketone Bodies: Urine Ketones - Positive (Moderate)
40 mg/dL
Ketone Bodies: Urine Ketones - Positive (Large)
80 mg/dL
Ketone Bodies: Urine Ketones - Positive (Very Large)
160 mg/dL
Desired Lab Values ("Goals") in Patients with Diabetes: Target/Goal Blood Glucose (BG) Levels - Preprandial BG
80-130 mg/dL
Desired Lab Values ("Goals") in Patients with Diabetes: Target/Goal Blood Glucose (BG) Levels - Postprandial (~2 hours after eating) BG
<180 mg/dL
Desired Lab Values ("Goals") in Patients with Diabetes: Target/Goal Glycated Hemoglobin (AKA "Hemoglobin A1c") - HgbA1c
<7%
Desired Lab Values ("Goals") in Patients with Diabetes: Urine Glucose Levels - Normal
negative
glucose does not usually "spill" into the urine until BG>180 mg/dL, when renal threshold for renal glucose reabsorption is exceeded
Consequences of Mild to Moderately Elevated Blood Glucose: Transient
body produces extra insulin to move glucose from extracellular space into cells to lower blood glucose
Consequences of Mild to Moderately Elevated Blood Glucose: Chronic (as seen with Type 1 and Type II Diabetes)
polydipsia
polyuria
polyphagia
nephropathy
neuropathy
retinopathy
Consequences of Severely Elevated Blood Glucose: Hyperglycemic Emergency
Diabetic Ketoacidosis (DKA)
Hyperosmolar Hyperglycemic Syndrome (HHS)
Counseling Points with Diabetes: Health Maintenance
proper diet
- access to healthy food
- transportation
- financial means to pay for healthy food
regular exercise
yearly influenza vaccine
regular doctor's visits
- primary care -> overall care
- podiatrist -> foot care
- ophthalmologist -> eye care
Counseling Patients with Diabetes: Blood Glucose Goals - Pre-Prandial Glucose
80-130 mg/dL
Counseling Patients with Diabetes: Blood Glucose Goals - Post-Prandial Glucose
<180 mg/dL
Counseling Patients with Diabetes: Blood Glucose Goals - A1C
<7%
Diabetes Plate Method: Proportions
1/2 plate non-starchy vegetables
1/4 plate carbohydrate foods
1/4 plate protein foods
4 cups water or 0-calorie drink
